La Galleria delle Applicazioni raccoglie un'ampia varietà di tutorial e di app dimostrative realizzati con COMSOL Multiphysics in diversi ambiti applicativi, inclusi quelli elettrico, meccanico, fluidico e chimico. E' possibile scaricare i file dei modelli e delle app demo pronti all'uso e le istruzioni step-by-step per costruirli, e utilizzarli come punto di partenza per le proprie simulazioni.
Lo strumento di Ricerca Rapida permette di trovare i modelli che si riferiscono alla propria area di interesse.
Si noti che molti degli esempi qui presentati sono accessibili anche tramite le Librerie delle Applicazioni incorporate nel software COMSOL Multiphysics® e disponibili dal menu File.
This parametrized model can be used to simulate the hopping hoop problem. A rolling ring with a point mass on the perimeter can, under certain conditions, jump up from the surface on which it is rolling. A more detailed description of this model can be found in the blog post "The ... Per saperne di più
Learn how to combine imported CAD with STL meshes in COMSOL Multiphysics using an example of a dental implant. The STL mesh is prepared in a Mesh Part, the imported CAD assembly is prepared in the Geometry sequence, and the two are combined in a Mesh-Based Geometry sequence. Watch this ... Per saperne di più
Surface reactions with adsorption-reaction-desorption steps are common in for example photocatalysis and biosensors. A flow cell in a biosensor contains an array of micropillars for adsorption of for example antigens in aqueous solutions. A signal proportional to the surface coverage can ... Per saperne di più
Learn how to repair, edit and combine imported surface meshes in COMSOL Multiphysics. This model demonstrates how to cut out a part of the upper jaw, remove elements from the mesh, and combine the meshes of the teeth and bone. Watch this video on editing, repairing, and combining ... Per saperne di più
As an analyte band flows through a curved channel in an electroosmotically driven flow, dispersion of the band occurs due to gradients in the fluid velocity across the channel. These velocity gradients result from differences in the electric field acting at the walls within the curved ... Per saperne di più
This example shows how to create a time-limited and hardware-locked application. It is associated with the section "Time-Limited and Hardware-Locked Applications" in the Application Programming Guide Per saperne di più
This example of a simulation application shows how to add a user-defined license agreement, which you can use to protect applications that you publish and distribute. Per saperne di più
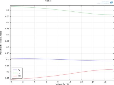
This example demonstrate the modeling of a plug flow reactor for the synthesis of ammonia in the Haber-Bosch process. The catalytic reactor in this process operates under non-isothermal conditions, where temperature and pressure varies substantially along the length of the reactor, in ... Per saperne di più
This model demonstrates how to model the inductive heating of a material with a temperature-dependent BH curve using the Magnetic Fields Formulation interface. Per saperne di più
This application generates both random and deterministic microstructures from imported CAD models or predefined primitive objects. Structures can be created using Gaussian random fields, random particles, periodic geometries such as gyroids and other TPMS structures, or combinations ... Per saperne di più
