La Galleria delle Applicazioni raccoglie un'ampia varietà di tutorial e di app dimostrative realizzati con COMSOL Multiphysics in diversi ambiti applicativi, inclusi quelli elettrico, meccanico, fluidico e chimico. E' possibile scaricare i file dei modelli e delle app demo pronti all'uso e le istruzioni step-by-step per costruirli, e utilizzarli come punto di partenza per le proprie simulazioni.
Lo strumento di Ricerca Rapida permette di trovare i modelli che si riferiscono alla propria area di interesse.
Si noti che molti degli esempi qui presentati sono accessibili anche tramite le Librerie delle Applicazioni incorporate nel software COMSOL Multiphysics® e disponibili dal menu File.
In the diffuse double layer and within the first few nanometers of an electrode surface, the assumption of electroneutrality is not valid due to charge separation. Typically, the diffuse double layer may be of interest when modeling very thin layers of electrolyte including those in ... Per saperne di più
This example models the flow in a 90-degree pipe elbow. The flow is simulated using the k-omega turbulence model. The result is compared to engineering correlations. Per saperne di più
This example shows how to compute thermally induced stresses in a turbine stator blade using the Thermal Stress, Solid interface. The conditions within gas turbines are extreme. The pressure can be as high as 40 bar, and the temperature more than 1000 K. Any new component must therefore ... Per saperne di più
The present model example is based on Copper Deposition in a Trench model available in Electrodeposition Application Library. The nonuniform deposition along the trench surface leads to formation of a cavity/void. Since the Deformed Geometry interface cannot handle topological changes, ... Per saperne di più
The present model example is based on Copper Deposition in a Trench model available in Electrodeposition Application Library. The nonuniform deposition along the trench surface leads to formation of a cavity/void. Since the Deformed Geometry interface cannot handle topological changes, ... Per saperne di più
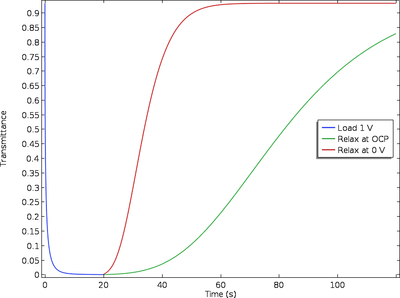
Electrochromic devices (ECDs) may be employed in ”smart” windows, for instance in buildings or motor cycle visors, where the transparency of the device can be controlled by applying a voltage. ECDs make use of the fact that the absorbance of visual light for a chemical species in a ... Per saperne di più
This tutorial shows how to model the propagation of acoustic waves in large pipe systems by coupling the Pipe Acoustics interface to the Pressure Acoustics interface. The tutorial is set up in both the time domain and the frequency domain. 1D pipe acoustics is used to model the ... Per saperne di più
In this set of eight tutorial models and associated documentation, you can investigate the resistive, capacitive, inductive, and thermal properties of a standard three-core lead-sheathed XLPE HVAC submarine cable with twisted magnetic armor (500 mm2, 220 kV). The series includes a 2D, 2D ... Per saperne di più
The purpose of the app is to demonstrate and simulate the use of cyclic voltammetry. You can vary the bulk concentration of both species, transport properties, kinetic parameters, as well as the cycling voltage window and scan rate. Cyclic voltammetry is a common analytical technique ... Per saperne di più
The purpose of this app is to understand EIS, Nyquist, and Bode plots. The app lets you vary the bulk concentration, diffusion coefficient, exchange current density, double layer capacitance, and the maximum and minimum frequency. Electrochemical impedance spectroscopy (EIS) is a common ... Per saperne di più
