La Galleria delle Applicazioni raccoglie un'ampia varietà di tutorial e di app dimostrative realizzati con COMSOL Multiphysics in diversi ambiti applicativi, inclusi quelli elettrico, meccanico, fluidico e chimico. E' possibile scaricare i file dei modelli e delle app demo pronti all'uso e le istruzioni step-by-step per costruirli, e utilizzarli come punto di partenza per le proprie simulazioni.
Lo strumento di Ricerca Rapida permette di trovare i modelli che si riferiscono alla propria area di interesse.
Si noti che molti degli esempi qui presentati sono accessibili anche tramite le Librerie delle Applicazioni incorporate nel software COMSOL Multiphysics® e disponibili dal menu File.
This benchmark model computes the total force acting on a vibrating disc in the frequency and time domains and compares both results with expressions derived analytically. When the vibration amplitude is small enough that the system is linear the frequency and time domain results agree ... Per saperne di più
A stationary 3D model of a generic fuel cell cathode describing the mass fraction distribution of oxygen, water, and nitrogen, as well as the current distribution. The model uses Darcy's Law to describe convection, and couples this to Maxwell-Stefan diffusivities to also describe mass ... Per saperne di più
This model computes the particle flux, number density and pressure on the surface of a plate that rotates in a highly directional molecular flow. The results obtained are compared with those from other, approximate, techniques for computing molecular flows. Per saperne di più
Copper electrowinning is the process of copper extraction from an electrolyte solution and its deposition at the cathode surface, by passing an external current through the electrolytic cell and using an insoluble anode. During the process, oxygen bubbles are generated at the anode ... Per saperne di più
This example models co-electrolysis of H2O and CO2 using a solid oxide electrolyzer cell. The model includes the full coupling between the mass balances and gas flow in the H2 and O2 gas diffusion electrodes, the momentum balances in the H2 and O2 gas flow channels, the energy balance ... Per saperne di più
This model presents a study of the current density distribution in a solid oxide fuel cell (SOFC). The model includes the full coupling between the mass balances at the anode and cathode, the momentum balances in the gas channels, the gas flow in the porous electrodes, the balance of ... Per saperne di più
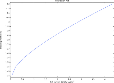
This example models a solid oxide electrolyzer cell wherein water vapor is reduced to form hydrogen gas on the cathode, and oxygen gas is evolved on the anode. The current distribution in the cell is coupled to the cathode mass transfer of hydrogen and water and momentum transport. Two ... Per saperne di più
This tutorial models how the relative humidity of the inlet gases impacts the performance of a low-temperature polymer electrolyte membrane-electrode assembly. The model includes humidity-dependent ionomer (electrolyte) conductivities, gas phase mass transport and water ionomer ... Per saperne di più
This example extends the Fuel Cell Cathode tutorial to also include liquid water transport in the oxygen electrode. Liquid water is produced using a user-defined expression for vapor condensation, depending on the relative humidity level in the gas phase. An experimental capillary ... Per saperne di più
Carbon corrosion is one of the important degradation mechanisms in a Polymer Electrolyte Membrane (PEM) fuel cells which predominantly occurs during start-up or shut down of the fuel cells. During carbon corrosion, carbon support to catalysts is compromised affecting the cell ... Per saperne di più
