La Galleria delle Applicazioni raccoglie un'ampia varietà di tutorial e di app dimostrative realizzati con COMSOL Multiphysics in diversi ambiti applicativi, inclusi quelli elettrico, meccanico, fluidico e chimico. E' possibile scaricare i file dei modelli e delle app demo pronti all'uso e le istruzioni step-by-step per costruirli, e utilizzarli come punto di partenza per le proprie simulazioni.
Lo strumento di Ricerca Rapida permette di trovare i modelli che si riferiscono alla propria area di interesse.
Si noti che molti degli esempi qui presentati sono accessibili anche tramite le Librerie delle Applicazioni incorporate nel software COMSOL Multiphysics® e disponibili dal menu File.
The models here showcase several use cases of the Circuit Extractor add-in, which is able to generate electric circuits from solved physics. A more detailed description of this tutorial model can be found in the blog post "Extracting Electrical Circuits from Electromagnetics ... Per saperne di più
Tutorial example of the RF heating of passive conductive implants (rod and screws) inserted in three vertebrae during MRI. The RF fields are locally enhanced in the proximity of a passive conductive implant resulting in the heating of the portion of tissue facing the implant's surface. Per saperne di più
The Thermal Actuator Surrogate Model Application demonstrates how the computational speed can be increased with the use of a surrogate model. This app demonstrates the following: Adjusting input parameters via sliders, with near-instantaneous updates to the solution retrieved from the ... Per saperne di più
A spherical water-rich load (potato) is placed on the rotating glass tray of a microwave oven some distance from the center of rotation. 1 kW of 2.45 GHz microwave power is applied via a waveguide feed. The plate rotates at 9 degrees per second. The heat transfer model involves the ... Per saperne di più
In this model a plane wave with circular polarization is reflected off an interface between air and glass. The model demonstrates three different ways of defining this problem. The first part shows how to define user-defined port mode fields. The second part uses the predefined circular ... Per saperne di più
A plane electromagnetic wave is incident on a metallic sphere partially embedded on a substrate. In this electromagnetic scattering problem, the far-field variables are computed for a few elevation angles of incidence. Per saperne di più
This model simulates the electrohydrodynamic (EHD) flow of a dielectric liquid around a wire electrode positioned between two parallel flat-plate electrodes. The ion transport is described using the Poisson–Nernst–Planck equations, while fluid motion is governed by the Navier–Stokes ... Per saperne di più
DC glow discharges in the low-pressure regime have long been used for gas lasers and fluorescent lamps. DC discharges are attractive to study because the solution is time independent. The 1D and 2D models show how to use the DC Discharge interface to set up an analysis of a positive ... Per saperne di più
The electrical insulation strength of gases is generally much lower than that of solids. Under normal operating conditions, electrical discharges—known as partial discharges—can occur in voids or cracks within a solid dielectric. This model simulates partial discharges in a spherical ... Per saperne di più
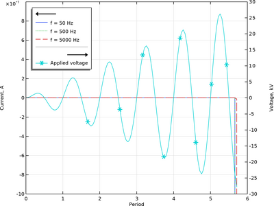
This model demonstrates dielectric barrier discharge (DBD) in air subjected to an AC applied voltage. As the voltage amplitude increases, the discharge intensity correspondingly strengthens. Furthermore, the dominant component of the discharge current transitions from displacement ... Per saperne di più
