Discussion Closed This discussion was created more than 6 months ago and has been closed. To start a new discussion with a link back to this one, click here.

İmplementing a (heat) equation on COMSOL

Please login with a confirmed email address before reporting spam

Hello everyone

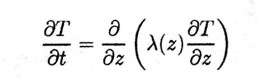
İve been trying to learn COMSOL since last week.İam trying to implement heat equation solved with Crank-Nicolson scheme.İ think i succeeded in doing that but nothing happens.İ put the equation in the file.İ made an İnterval from Geomerty and its 0 to 30 m(because my depth is 30m)To implement it to COMSOL i opened a Coefficient form PDE from Physics and i selected time dependant.İ defined my parameters.

At the Coefficient form PDE 1 section here are the values for the equation from Coefficient form PDE .

c=lambda(i introduced it from parameters its an equation for thermal diffisuvity)(thermal difusivity is lambda on the equation i give in the file)
a=0
f=0
ea=0
da=1
β=0
ϒ=0
α=0
i think when i write these it should be like the equation(in the file) im trying to make COMSOL solve.
İ did these and made time range(0,0.1,100)
When i compute nothing shows on the graph im trying to find how heat change according to time with depth.İt would be big help to say the wrong thing im doing here.





Lamda is =k/(rho*c)


0 Replies Last Post 24 lug 2015, 08:54 GMT-4
COMSOL Moderator

Hello Hakan Tarık Meriç

Your Discussion has gone 30 days without a reply. If you still need help with COMSOL and have an on-subscription license, please visit our Support Center for help.

If you do not hold an on-subscription license, you may find an answer in another Discussion or in the Knowledge Base.

Note that while COMSOL employees may participate in the discussion forum, COMSOL® software users who are on-subscription should submit their questions via the Support Center for a more comprehensive response from the Technical Support team.