La Galleria delle Applicazioni raccoglie un'ampia varietà di tutorial e di app dimostrative realizzati con COMSOL Multiphysics in diversi ambiti applicativi, inclusi quelli elettrico, meccanico, fluidico e chimico. E' possibile scaricare i file dei modelli e delle app demo pronti all'uso e le istruzioni step-by-step per costruirli, e utilizzarli come punto di partenza per le proprie simulazioni.
Lo strumento di Ricerca Rapida permette di trovare i modelli che si riferiscono alla propria area di interesse.
Si noti che molti degli esempi qui presentati sono accessibili anche tramite le Librerie delle Applicazioni incorporate nel software COMSOL Multiphysics® e disponibili dal menu File.
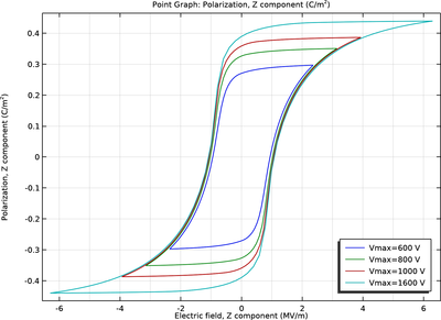
Ferroelectric materials exhibit nonlinear polarization behavior such as hysteresis and saturation at large applied electric fields. Many piezoelectric materials are ferroelectric. This model analyzes a simple actuator made of PZT piezoelectric ceramic material, which is subjected to ... Per saperne di più
When electrons are emitted from a heated cathode in a plane parallel vacuum diode, they contribute to the space charge density in the diode, which in turn affects the electric potential distribution. If the potential difference between the cathode and the anode is not sufficiently large, ... Per saperne di più
Lithium-sulfur (Li-S) batteries are used in niche applications with high demands for specific energy densities, which may be as high as 500-600 Wh/kg. The chemistry is fairly complex, since multiple polysulfide species participate in the various charge transfer reactions. The chemistry ... Per saperne di più
This tutorial example models the currents and the concentration of dissolved metal ions in a battery (corrosion cell) made from an orange and two metal nails. This type of battery is commonly used in chemistry lessons. Instead of an orange, lemons or potatoes can also be used. Per saperne di più
Many piezoelectric materials are ferroelectric. Ferroelectric materials exhibit nonlinear polarization behavior, such as hysteresis and saturation at large applied electric fields. In addition, the polarization and mechanical deformations in such materials can be strongly coupled due to ... Per saperne di più
This simple model demonstrates how to use the Semiconductor Optoelectronics interfaces to model a simple GaAs PIN diode structure. Both the stimulated and spontaneous emission in the semiconductor are accounted for. The corresponding absorption of the light and the associated change in ... Per saperne di più
In a MESFET, the gate forms a rectifying junction that controls the opening of the channel by varying the depletion width of the junction. In this model we simulate the response of a n-doped GaAs MESFET to different drain and gate voltages. For a n-doped material the electron ... Per saperne di più
This tutorial shows how to solve the full time-dependent wave equation in dispersive media such as plasmas and semiconductors. The 2D TM in-plane wave model solves for the vector potential from the wave equation and for an auxiliary electric polarization density from an ordinary ... Per saperne di più
This tutorial analyzes the hysteresis of the conductance-gate-voltage (G-Vg) curves of an InAs nanowire FET, using the density-gradient theory to add the effect of quantum confinement to the conventional drift-diffusion formulation, without a large increase of computational costs. The ... Per saperne di più
It is more difficult to generate laser emissions in the short-wavelength part of the visible and near visible part of the electromagnetic spectrum than in the long-wavelength part. Nonlinear frequency mixing makes it easier to generate new short wavelengths from existing laser ... Per saperne di più
