La Galleria delle Applicazioni raccoglie un'ampia varietà di tutorial e di app dimostrative realizzati con COMSOL Multiphysics in diversi ambiti applicativi, inclusi quelli elettrico, meccanico, fluidico e chimico. E' possibile scaricare i file dei modelli e delle app demo pronti all'uso e le istruzioni step-by-step per costruirli, e utilizzarli come punto di partenza per le proprie simulazioni.
Lo strumento di Ricerca Rapida permette di trovare i modelli che si riferiscono alla propria area di interesse.
Si noti che molti degli esempi qui presentati sono accessibili anche tramite le Librerie delle Applicazioni incorporate nel software COMSOL Multiphysics® e disponibili dal menu File.
This app demonstrates the usage of a surrogate model function for predicting the rate capability of an NMC111/graphite battery cell. The rate capability is shown in a Ragone plot. The surrogate function, a Deep Neural Network, has been fitted to a subset of the possible input data ... Per saperne di più
This 2D example of a vanadium flow battery demonstrates how to couple a secondary current distribution model for an ion-exchange membrane to tertiary current distribution models for two different free electrolyte compartments of a flow battery. The Ion-Exchange Membrane boundary node ... Per saperne di più
This app demonstrates the following: Dynamic help system using card stacks Multiple components (1D and 3D) in a single app Toggle buttons in the ribbon for showing different input, hiding/showing geometry selections, and for dynamic help Geometry parts and parameterized geometries ... Per saperne di più
Due to abuse, such as internal or external short circuits or excessive heating, an individual battery cell may go into thermal runaway, during which the battery cell generates a significant amount of heat. If enough heat is transferred between adjacent cells during a thermal runaway ... Per saperne di più
This tutorial demonstrates how to integrate multiple Lumped Battery models into the Electrical Circuit interface. Two batteries are connected in series. Each battery is protected by a shunt resistances that is activated if the battery state-of-charge reaches below a certain threshold ... Per saperne di più
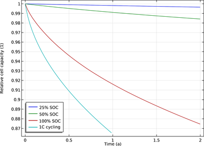
This tutorial demonstrates the Lumped Battery interface for modeling capacity loss in a battery. A set of lumped parameters are used to describe the capacity loss that occurs due to parasitic reactions in the battery, assuming no knowledge of the internal structure or design of the ... Per saperne di più
This model example simulates an air-cooled cylindrical 18650 lithium-ion battery during a charge-discharge cycle, followed by a relaxing period. A lumped (0D) cell model is used to model the battery cell chemistry, and a two-dimensional axi-symmetrical model is used to model the ... Per saperne di più
This example demonstrates how to model the temperature distribution in a battery pack during a 4C discharge. The pack is constructed by first coupling two cylindrical batteries in parallel. Six parallel-connected pairs are then connected in series to create the full pack. (This is also ... Per saperne di più
This example demonstrates the Lithium-Ion Battery, Single-Ion Conductor interface for studying the discharge of a lithium-ion battery with solid electrolyte. The geometry is in one dimension and the model is isothermal. The behavior at various discharge currents and solid electrolyte ... Per saperne di più
This is a template base model containing the physics, geometry and mesh of a lithium-ion battery, defined in 1D. The model makes use of four lithiation parameters which are used to define the relative balancing of the negative and positive electrodes, as well as global cell state of ... Per saperne di più
