Note: This discussion is about an older version of the COMSOL Multiphysics® software. The information provided may be out of date.
Discussion Closed This discussion was created more than 6 months ago and has been closed. To start a new discussion with a link back to this one, click here.
Dissipation density equation in pressure acoustics fluid model
Posted 3 nov 2015, 02:14 GMT-5 Acoustics & Vibrations Version 4.4 0 Replies
Please login with a confirmed email address before reporting spam
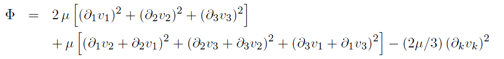
I'm trying to figure out what the equation of dissipation density in pressure acoustics fluid model.
Originally, dissipation function is related to spatial derivative of velocity.
I used the equation I attached here to get the same value from acpr.diss_visc.
But the value from the equation I made was totally different from that of acpr.diss_visc.
Is there anyone who tried to make it before?
Thanks guys.
Attachments:
Hello JeeWon Suh
Your Discussion has gone 30 days without a reply. If you still need help with COMSOL and have an on-subscription license, please visit our Support Center for help.
If you do not hold an on-subscription license, you may find an answer in another Discussion or in the Knowledge Base.
