Discussion Closed This discussion was created more than 6 months ago and has been closed. To start a new discussion with a link back to this one, click here.
Induction Heating, Induction coil
Posted 7 giu 2013, 15:12 GMT-4 Low-Frequency Electromagnetics, Heat Transfer & Phase Change, Results & Visualization 10 Replies
Please login with a confirmed email address before reporting spam
How is it posible, is there any factor that i'm missing??
the coil has a diameter of 2mm and the frequency used is 30kHz
Attachments:
Please login with a confirmed email address before reporting spam
How you compute the analytical resistance ?
I suppose with R*rho*L/S.
The problem is the choice of S, because the current with 30kHz frequency is not uniform.
So, when you increase the frequency, you decrease S, so you increase R.
Jean-Marc
Please login with a confirmed email address before reporting spam
In this assumption multiturn coil, you neglect the eddy current in the winding.
In the field area, it is the area of one turn coil and not the total one.
Jean-Marc
Please login with a confirmed email address before reporting spam
This assumption is right when the skin depth is around the diameter of the one turn coil.
It's necessary to use coil group domain and describe all 77 turns.
In this cas you consider all the turn in series.
It's very simple with the menu transform > array of the geometry nodes.
Jean-Marc
Please login with a confirmed email address before reporting spam
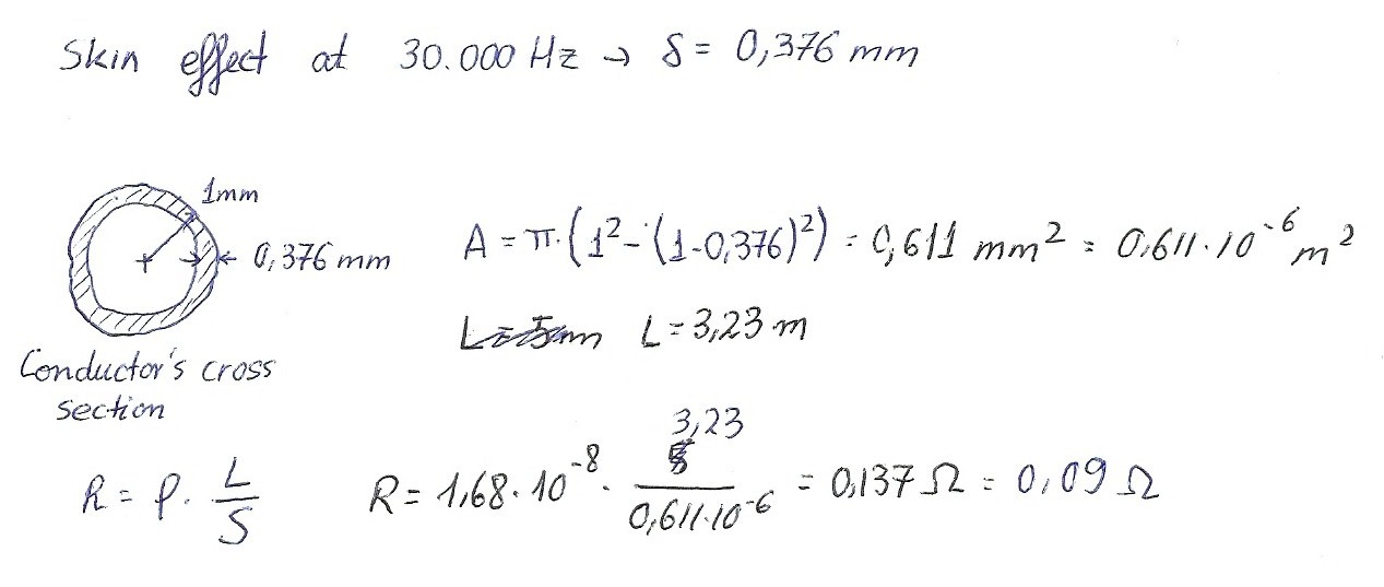
But i still don't understand why is the coil resistance so high.
For 30kHz the skin depth is 0.37 mm. So the effective area on the conductor will be a ring near the surface of the cable.
The effective area should be:
S=pi*(Rout^2-Rin^2)= pi*(1^2-(1-0.37)^2) =1,89 mm^2
The length of the coil is aprox. 3,23 meters so:
R=rho*L/S = 1.68e-8 * 3,42/1,89e-6 = 0.0304 ohm.
But when i simulate i get a resistance of 5 ohms.
On the other hand, when I use the current for the coil excitation the programs calculate the other coil parameters such as coil voltage or coil power. Is I use that coil voltage for the coil excitation i get completely different results.
The final temperature using current is 270ºC. The temperature using voltage at the same time is 140ºC
Please login with a confirmed email address before reporting spam
The resitance compute by COMSOL is a global resistance taking into account the susceptor inside the coil.
If you want to compute only the copper resistance, you must integrate resistive heating only in the coils, and with the currents or voltage deduce the copper resistance.
Jean-Marc
Please login with a confirmed email address before reporting spam
Please login with a confirmed email address before reporting spam
It's the equivalent resistance of your tal circuit and same thing for the inductance.
Your total system is equivalent to a Requivalent and Lequivalent in series.
Jean-Marc
Please login with a confirmed email address before reporting spam
With the equivalent resistance you can deduce the total active power (power generator) and with the inductance the total reactive power.
JM
Please login with a confirmed email address before reporting spam
I designed the coil based on the AWG wire size table, that relates the conductor size with the maximum current that can flow through it. But when working with high frequencies, the conductor area isn't the hole area but the effective one due to skin effect, so I have to look on the table for the equivalent wire that has the same area, am I right?
The effective area of my coil is A=1.68 mm^2 (1.8 diameter wire; 30kHz), the equivalent coil with that area is the AWG 14, which can resist 5.9A, so the current density would be 5.9/1.68= 3.62 A/mm^2. However I've seen on the results of the simulation that the current density is very high (20 A/mm^2 or even higher) in some points. Can the coil resist so much current??
For the other hand, I've seen that most of the induction coils used for induction heating are cooled with water. Does my coil need to be cooled if the power of my circuit is 100W.
Link to the AWG wire size table: www.powerstream.com/Wire_Size.htm
Attachments:
Please login with a confirmed email address before reporting spam
I designed the coil based on the AWG wire size table, that relates the conductor size with the maximum current that can flow through it. But when working with high frequencies, the conductor area isn't the hole area but the effective one due to skin effect, so I have to look on the table for the equivalent wire that has the same area, am I right?
The effective area of my coil is A=1.68 mm^2 (1.8 diameter wire; 30kHz), the equivalent coil with that area is the AWG 14, which can resist 5.9A, so the current density would be 5.9/1.68= 3.62 A/mm^2. However I've seen on the results of the simulation that the current density is very high (20 A/mm^2 or even higher) in some points. Can the coil resist so much current??
For the other hand, I've seen that most of the induction coils used for induction heating are cooled with water. Does my coil need to be cooled if the power of my circuit is 100W.
Link to the AWG wire size table: www.powerstream.com/Wire_Size.htm
Attachments:
Note that while COMSOL employees may participate in the discussion forum, COMSOL® software users who are on-subscription should submit their questions via the Support Center for a more comprehensive response from the Technical Support team.
Suggested Content
- KNOWLEDGE BASE How does COMSOL Multiphysics handle complex-valued numbers and problems in the frequency domain?
- BLOG Predicting the Effects of Induction Heating with Simulation
- KNOWLEDGE BASE Solving electromagnetic heating models with high-frequency loads
- FORUM Induction Heating, Induction coil
-
KNOWLEDGE BASE
How can I see the equations COMSOL is defining?
How do I implement a user-defined Multiphysics coupling?
