Discussion Closed This discussion was created more than 6 months ago and has been closed. To start a new discussion with a link back to this one, click here.
How to input this equation in PDE module
Posted 16 apr 2013, 23:12 GMT-4 Modeling Tools & Definitions, Parameters, Variables, & Functions 0 Replies
Please login with a confirmed email address before reporting spam
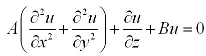
I want to construct a 3D model in PDE module using the following equation. I have read the help file several days, but can not figure out how to do this using either coefficient form or general form PDE. If anyone konw about this, please give me some advice.
best!
Attachments:
Hello John Hall
Your Discussion has gone 30 days without a reply. If you still need help with COMSOL and have an on-subscription license, please visit our Support Center for help.
If you do not hold an on-subscription license, you may find an answer in another Discussion or in the Knowledge Base.
