Discussion Closed This discussion was created more than 6 months ago and has been closed. To start a new discussion with a link back to this one, click here.

Magnetic Force on an armature

Please login with a confirmed email address before reporting spam

Hello

I'm dealing with a very simple problem that has been very frustrating for me! I would appreciate if any one can assist me with that.

I'm modeling an E-shaped core in 2D magnetic field module. It has a flat rectangular armature that is to be attracted by the magnetic force produced by the coil. I attached the schematics.

I've faced some problems and have some questions regarding that.

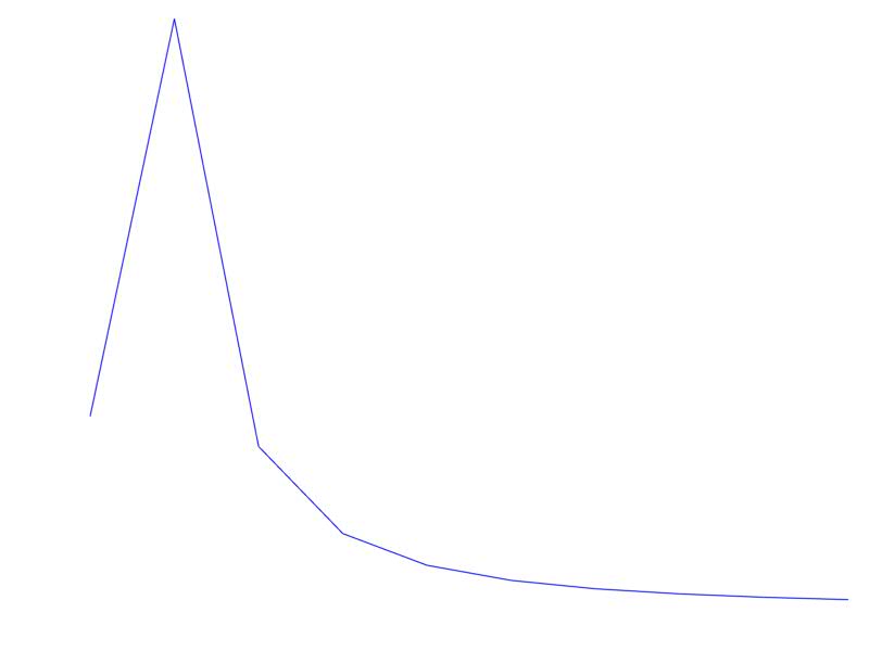
First, for very small values of air gap which is the distance between the armature and the core, I expect a very large force. However, that's not what I received from my simulations. The force is very small in the beginning. After a threshold, it jumps up to a high value and follows the expected profile afterwards. I believe there is some setting that I need to apply for small air gaps that I'm missing. I attached the force profile.

Second, I need to see the movement of the armature under the effect of an external force detaching it from the core. Can I do it by just adding the structural mechanics module and a body load? Also, how can I model the contact between the core and the armature as they are supposed to be touching each other in the beginning.

Third, how can I read the inductance of my system. I cannot find any option to select after adding .

And finally, I need to connect the coil to an electric circuit. The problem is that this coil is constituted by two rectangles in 2D which are in deed connected on two ends of the actual paradigm. How can I connect such thing to a circuit as an inductor?

I appreciate any help in advance.


48 Replies Last Post 21 mag 2013, 20:59 GMT-4
Ivar KJELBERG COMSOL Multiphysics(r) fan, retired, former "Senior Expert" at CSEM SA (CH)

Please login with a confirmed email address before reporting spam

Posted: 1 decade ago 28 mar 2013, 16:50 GMT-4
Hi

force calculations are dependent on the meshing, and also on all sharp corners as here the filed is undefined (what is the derivative at an vertex, in which direction ?

Often by rounding off corners you get better results.

Then when simulating objects that move, be aware NOT to change the topology, leave a small air gap so that the geometrical ID of each entities remains

Anyhow force simulations is based that you surround your force calculation item by all air around it, multiple mu_r domains around the boundaries to integrate will give errors in the force calculations

--
Good luck
Ivar
Hi force calculations are dependent on the meshing, and also on all sharp corners as here the filed is undefined (what is the derivative at an vertex, in which direction ? Often by rounding off corners you get better results. Then when simulating objects that move, be aware NOT to change the topology, leave a small air gap so that the geometrical ID of each entities remains Anyhow force simulations is based that you surround your force calculation item by all air around it, multiple mu_r domains around the boundaries to integrate will give errors in the force calculations -- Good luck Ivar

Please login with a confirmed email address before reporting spam

Posted: 1 decade ago 31 mar 2013, 00:18 GMT-4
Thanks Ivar

Your point about force calculation helped me a lot to understand how it works in Comsol!

Do you have any idea on how I can extract the inductance of my system?

I have the value of the actual system. I want to compare comsol's with mine before starting to connect it to my circuit.

Thanks
Thanks Ivar Your point about force calculation helped me a lot to understand how it works in Comsol! Do you have any idea on how I can extract the inductance of my system? I have the value of the actual system. I want to compare comsol's with mine before starting to connect it to my circuit. Thanks

Ivar KJELBERG COMSOL Multiphysics(r) fan, retired, former "Senior Expert" at CSEM SA (CH)

Please login with a confirmed email address before reporting spam

Posted: 1 decade ago 31 mar 2013, 13:14 GMT-4
Hi

Either you use the terminal / port BC and get the imperdance as a lumped variable, or you need to derive the impedance as voltage over current or current derivative variable yourself

--
Good luck
Ivar
Hi Either you use the terminal / port BC and get the imperdance as a lumped variable, or you need to derive the impedance as voltage over current or current derivative variable yourself -- Good luck Ivar

Please login with a confirmed email address before reporting spam

Posted: 1 decade ago 1 apr 2013, 14:58 GMT-4
Thanks Ivar for the quick reply.

I could read the impedance. I also could connect my system to the circuit. Every thing looks fine; But, I don't know how I can solve different modules at the same time.

I added some ODEs replacing my structural mechanics module. Firstly, I cannot use my ODEs' states to define my geometry. my ODEs define how the armature moves and it affects the system's magnetic properties. So, the position of the armature is one of the states that is changing in the ODEs. Do you know any alternative or any modification on how I can use it as the position of an object in my geometry.

Considering I could resolve the problem above, now, I have 3 studies that I can solve separately. Since my armature is moving and I want to see its effect on the voltage in the circuit, I need to observe the effect of my ODEs -that define the motion of the armature- on the magnetic environment and the circuit.

I could run every single studies one by one (With fixed armature!). But, the results are not coupled. I think there is something I'm missing. I hope you or any one else could help me with that.

Thanks so much.
Vahid
Thanks Ivar for the quick reply. I could read the impedance. I also could connect my system to the circuit. Every thing looks fine; But, I don't know how I can solve different modules at the same time. I added some ODEs replacing my structural mechanics module. Firstly, I cannot use my ODEs' states to define my geometry. my ODEs define how the armature moves and it affects the system's magnetic properties. So, the position of the armature is one of the states that is changing in the ODEs. Do you know any alternative or any modification on how I can use it as the position of an object in my geometry. Considering I could resolve the problem above, now, I have 3 studies that I can solve separately. Since my armature is moving and I want to see its effect on the voltage in the circuit, I need to observe the effect of my ODEs -that define the motion of the armature- on the magnetic environment and the circuit. I could run every single studies one by one (With fixed armature!). But, the results are not coupled. I think there is something I'm missing. I hope you or any one else could help me with that. Thanks so much. Vahid

Ivar KJELBERG COMSOL Multiphysics(r) fan, retired, former "Senior Expert" at CSEM SA (CH)

Please login with a confirmed email address before reporting spam

Posted: 1 decade ago 1 apr 2013, 16:08 GMT-4
Hi

you can get the geometry to move/change via parameters and parametric sweep, but this you impose, not the equations, else you have only the ALE or DG to change the meshing and or geoemtry (via a meshing mapping = DG) Check the Model library examples

--
Good luck
Ivar
Hi you can get the geometry to move/change via parameters and parametric sweep, but this you impose, not the equations, else you have only the ALE or DG to change the meshing and or geoemtry (via a meshing mapping = DG) Check the Model library examples -- Good luck Ivar

Please login with a confirmed email address before reporting spam

Posted: 1 decade ago 2 apr 2013, 21:04 GMT-4
Hello Ivar

I added the moving mesh module as well.
I solve first to find the stationary solution as the initial condition for the time-dependent solver. I selected all the modules for the stationary solver and it showed me an error (first attachment). Then, I solved stationary solver only for Magnetic Field and Electric circuit (Excluding Moving mesh and structural mechanics). It did solve my problem for both stationary and time-dependent settings. However, I don't seem to see any coupling between the structural mechanics and magnetic field modules.
I can read the solution for each of them separately: moving of the object in solid mechanics and produced magnetic flux in the magnetic field module; but there is no interference between these two modules in the sense that they seem to act independently not contributing to each other.

Where do you think the problem might be from?

Thanks
Hello Ivar I added the moving mesh module as well. I solve first to find the stationary solution as the initial condition for the time-dependent solver. I selected all the modules for the stationary solver and it showed me an error (first attachment). Then, I solved stationary solver only for Magnetic Field and Electric circuit (Excluding Moving mesh and structural mechanics). It did solve my problem for both stationary and time-dependent settings. However, I don't seem to see any coupling between the structural mechanics and magnetic field modules. I can read the solution for each of them separately: moving of the object in solid mechanics and produced magnetic flux in the magnetic field module; but there is no interference between these two modules in the sense that they seem to act independently not contributing to each other. Where do you think the problem might be from? Thanks


Please login with a confirmed email address before reporting spam

Posted: 1 decade ago 2 apr 2013, 23:43 GMT-4
Hello

I'm somehow progressing and getting some results! :)

I defined an integration on the armature plate to measure the total magnetic force applied to it. When I want to use this integration in a formula, it shows up in orange text. I know that it does work with it, however, when I hold my mouse on it it tells me that the unit it can deduce from my expression is not Newton. (Please, see attached picture)

I think I'm not wrong about the formula. Do you have any idea what it can be generated from?

Thanks again
Hello I'm somehow progressing and getting some results! :) I defined an integration on the armature plate to measure the total magnetic force applied to it. When I want to use this integration in a formula, it shows up in orange text. I know that it does work with it, however, when I hold my mouse on it it tells me that the unit it can deduce from my expression is not Newton. (Please, see attached picture) I think I'm not wrong about the formula. Do you have any idea what it can be generated from? Thanks again


Ivar KJELBERG COMSOL Multiphysics(r) fan, retired, former "Senior Expert" at CSEM SA (CH)

Please login with a confirmed email address before reporting spam

Posted: 1 decade ago 3 apr 2013, 01:51 GMT-4
Hi

orange is unit warning (not considered as an error but might give wrong resultsif COMSOl does not interprete the values as you expect), your "50" has no units, so write rather 50[N] and then check that the units of your function or integration is ending up in N or you might have N/m and then you need to multiply by the 2D depth (probably 1[m]) to get the orange warning to turn blac (=OK)

--
Good luck
Ivar
Hi orange is unit warning (not considered as an error but might give wrong resultsif COMSOl does not interprete the values as you expect), your "50" has no units, so write rather 50[N] and then check that the units of your function or integration is ending up in N or you might have N/m and then you need to multiply by the 2D depth (probably 1[m]) to get the orange warning to turn blac (=OK) -- Good luck Ivar

Ivar KJELBERG COMSOL Multiphysics(r) fan, retired, former "Senior Expert" at CSEM SA (CH)

Please login with a confirmed email address before reporting spam

Posted: 1 decade ago 3 apr 2013, 01:54 GMT-4
Hi

you model becomes complex, and you have several solver setings, I always delete my solvers and regenerate them when I add remove physics, as its far from Obvious for COMSOl to rearrange the solver sequence, particularly if you have changed something, as then COMSOL consider YOU have full control.

Then you need to be sure your settings for all your physics are coherent, easy to get wrong with so many physics.

Then last thing to get a good force calulation, your domanmust be surrounded by air along all boundaries

--
Good luck
Ivar
Hi you model becomes complex, and you have several solver setings, I always delete my solvers and regenerate them when I add remove physics, as its far from Obvious for COMSOl to rearrange the solver sequence, particularly if you have changed something, as then COMSOL consider YOU have full control. Then you need to be sure your settings for all your physics are coherent, easy to get wrong with so many physics. Then last thing to get a good force calulation, your domanmust be surrounded by air along all boundaries -- Good luck Ivar

Please login with a confirmed email address before reporting spam

Posted: 1 decade ago 3 apr 2013, 21:38 GMT-4
Ivar

Thanks to your helps I'm getting some results finally! I appreciate it!

My model is in 2D and I divided my model in half because of symmetry! Is there any way I can present the final results for the whole system. like mirroring the results to have the whole system?

thanks
Ivar Thanks to your helps I'm getting some results finally! I appreciate it! My model is in 2D and I divided my model in half because of symmetry! Is there any way I can present the final results for the whole system. like mirroring the results to have the whole system? thanks

Ivar KJELBERG COMSOL Multiphysics(r) fan, retired, former "Senior Expert" at CSEM SA (CH)

Please login with a confirmed email address before reporting spam

Posted: 1 decade ago 4 apr 2013, 01:26 GMT-4
Hi

yes, in the Results Data set you can create a new Data Set with mirror or revolve (for 2D-axis) and give a pseudo 3D view based on your 2D respectively 2D-axi model. This is also shown in one of the videos on the main site

--
Good luck
Ivar
Hi yes, in the Results Data set you can create a new Data Set with mirror or revolve (for 2D-axis) and give a pseudo 3D view based on your 2D respectively 2D-axi model. This is also shown in one of the videos on the main site -- Good luck Ivar

Please login with a confirmed email address before reporting spam

Posted: 1 decade ago 4 apr 2013, 14:58 GMT-4
Hello Ivar

I modeled my system in 3D as well.

The force that I observe is way less than what I expect! The armature is surrounded fully by air.

Also, when I sketch the streamlines, they don't seem symmetric! The system itself is symmetric. (Please see the attachments)

Any clues?

Thanks
Hello Ivar I modeled my system in 3D as well. The force that I observe is way less than what I expect! The armature is surrounded fully by air. Also, when I sketch the streamlines, they don't seem symmetric! The system itself is symmetric. (Please see the attachments) Any clues? Thanks


Ivar KJELBERG COMSOL Multiphysics(r) fan, retired, former "Senior Expert" at CSEM SA (CH)

Please login with a confirmed email address before reporting spam

Posted: 1 decade ago 4 apr 2013, 17:05 GMT-4
Hi

first of all from that angle it's not clear how they loop around, then you must play with the plot settigs, the source, the densities, how the stream lines are started and distributed

--
Good luck
Ivar
Hi first of all from that angle it's not clear how they loop around, then you must play with the plot settigs, the source, the densities, how the stream lines are started and distributed -- Good luck Ivar

Please login with a confirmed email address before reporting spam

Posted: 1 decade ago 4 apr 2013, 17:21 GMT-4
Hello Ivar

Stream lines are Magnitude based and are for the Magnetic flux density!

I attach the 3D view here. I also attach the front view. I don't know why I don't get a symmetric result although the model is symmetric!

Thanks
Hello Ivar Stream lines are Magnitude based and are for the Magnetic flux density! I attach the 3D view here. I also attach the front view. I don't know why I don't get a symmetric result although the model is symmetric! Thanks


Ivar KJELBERG COMSOL Multiphysics(r) fan, retired, former "Senior Expert" at CSEM SA (CH)

Please login with a confirmed email address before reporting spam

Posted: 1 decade ago 4 apr 2013, 17:27 GMT-4
Hi

looks good like that, to perform better line selection you must study the different tabs on the GUI for the streamline plot, you might get also some hints from the videos on themain COMSOL site

--
Good luck
Ivar
Hi looks good like that, to perform better line selection you must study the different tabs on the GUI for the streamline plot, you might get also some hints from the videos on themain COMSOL site -- Good luck Ivar

Please login with a confirmed email address before reporting spam

Posted: 1 decade ago 4 apr 2013, 21:30 GMT-4
Ivar

Do you have any idea why the force is very smaller than my expectations?
Ivar Do you have any idea why the force is very smaller than my expectations?

Ivar KJELBERG COMSOL Multiphysics(r) fan, retired, former "Senior Expert" at CSEM SA (CH)

Please login with a confirmed email address before reporting spam

Posted: 1 decade ago 5 apr 2013, 01:52 GMT-4
Hi

perhaps the B field is small too ? or you are in meters instead of mm or ...

recheck your variables and detailed results, make a few more plots, and as usual: ALWAYS validate your model by controlling the results at a few point via simple analytical hand calculations

--
Good luck
Ivar
Hi perhaps the B field is small too ? or you are in meters instead of mm or ... recheck your variables and detailed results, make a few more plots, and as usual: ALWAYS validate your model by controlling the results at a few point via simple analytical hand calculations -- Good luck Ivar

Please login with a confirmed email address before reporting spam

Posted: 1 decade ago 5 apr 2013, 05:15 GMT-4
Hello!

In your 2D example you wrote intfor(mf.Forcey_0). If your define a force calculation on a domain, it is already an integrated force over the whole domain; you don't have to integrate manually!
Did you do the same in your 3D model?
You can post a (cleaned) file for checking...

Ralf
Hello! In your 2D example you wrote intfor(mf.Forcey_0). If your define a force calculation on a domain, it is already an integrated force over the whole domain; you don't have to integrate manually! Did you do the same in your 3D model? You can post a (cleaned) file for checking... Ralf

Please login with a confirmed email address before reporting spam

Posted: 1 decade ago 5 apr 2013, 18:15 GMT-4
Hello

Even in 2D, I needed to use 200 as the relative permeability for iron instead of 100 to get the force values I expect. However, in 2D Forces were higher than 3D.

In my models, I do not consider the integration expression as when I do, my computer hangs when I start solving! I tried it with Ralf's correction: same thing happened! That in fact is another issue!

Thanks
Hello Even in 2D, I needed to use 200 as the relative permeability for iron instead of 100 to get the force values I expect. However, in 2D Forces were higher than 3D. In my models, I do not consider the integration expression as when I do, my computer hangs when I start solving! I tried it with Ralf's correction: same thing happened! That in fact is another issue! Thanks

Please login with a confirmed email address before reporting spam

Posted: 1 decade ago 5 apr 2013, 18:15 GMT-4
Just to add, when I use the integration expression, the RAM requirement goes up to over 7 GB!
Just to add, when I use the integration expression, the RAM requirement goes up to over 7 GB!

Ivar KJELBERG COMSOL Multiphysics(r) fan, retired, former "Senior Expert" at CSEM SA (CH)

Please login with a confirmed email address before reporting spam

Posted: 1 decade ago 6 apr 2013, 07:34 GMT-4
Hi

check carefull that your model is mesh independet, as force calulations are often strongly elated to the mesh. Also avoid sharp corners along the integration path, as these are singularities and contribute strongly to the errors, often filleted corners are far better, but it increases rapidly the mesh densty, hence RAM and time to solve

--
Good luck
Ivar
Hi check carefull that your model is mesh independet, as force calulations are often strongly elated to the mesh. Also avoid sharp corners along the integration path, as these are singularities and contribute strongly to the errors, often filleted corners are far better, but it increases rapidly the mesh densty, hence RAM and time to solve -- Good luck Ivar

Please login with a confirmed email address before reporting spam

Posted: 1 decade ago 7 apr 2013, 16:56 GMT-4
Hello Ivar

I did not change any thing in my model. I just added the integration expression as an effective force on my armature. Then, the RAM requirement increased! I don't know why!

My corners are filed! Having this applied, I need to double the relative permeability of the iron to get the expected force!

Thanks
Hello Ivar I did not change any thing in my model. I just added the integration expression as an effective force on my armature. Then, the RAM requirement increased! I don't know why! My corners are filed! Having this applied, I need to double the relative permeability of the iron to get the expected force! Thanks

Ivar KJELBERG COMSOL Multiphysics(r) fan, retired, former "Senior Expert" at CSEM SA (CH)

Please login with a confirmed email address before reporting spam

Posted: 1 decade ago 8 apr 2013, 01:00 GMT-4
Hi

to calculate the forces COMSOL needs to perform detailed integrations hence needs more RAM and time. Now something else must be wrong in your model, from my studies I have always got close to experimental results, but it's easy to miss some points/hypothesis while setting up such models

--
Good luck
Ivar
Hi to calculate the forces COMSOL needs to perform detailed integrations hence needs more RAM and time. Now something else must be wrong in your model, from my studies I have always got close to experimental results, but it's easy to miss some points/hypothesis while setting up such models -- Good luck Ivar

Please login with a confirmed email address before reporting spam

Posted: 1 decade ago 9 apr 2013, 01:41 GMT-4
Hello

I think the problem of hanging might be because when I use the expression mf.Forcey_0, it wants to use its vector form: as I'm doing time-dependent analysis, Force will be a vector: one element for each time step.

Do you know any way I can access the current magnetic force in my solid mechanics modeling and use it as an input force?

thanks
Hello I think the problem of hanging might be because when I use the expression mf.Forcey_0, it wants to use its vector form: as I'm doing time-dependent analysis, Force will be a vector: one element for each time step. Do you know any way I can access the current magnetic force in my solid mechanics modeling and use it as an input force? thanks

Ivar KJELBERG COMSOL Multiphysics(r) fan, retired, former "Senior Expert" at CSEM SA (CH)

Please login with a confirmed email address before reporting spam

Posted: 1 decade ago 9 apr 2013, 14:34 GMT-4
Hi
The "natural way" is to calcualte the force via a MF force domain node (integration over the boundaries) and apply that as a boundary load in Solid (normally COMSOL will propose the lonk in the drop down lists)

--
Good luck
Ivar
Hi The "natural way" is to calcualte the force via a MF force domain node (integration over the boundaries) and apply that as a boundary load in Solid (normally COMSOL will propose the lonk in the drop down lists) -- Good luck Ivar

Please login with a confirmed email address before reporting spam

Posted: 1 decade ago 12 apr 2013, 01:24 GMT-4
Hi

I did what you told me and it worked. When I apply the force as a boundary load it works fine; but the hanging problem arises when I do it as a body load.

Any clue?
Hi I did what you told me and it worked. When I apply the force as a boundary load it works fine; but the hanging problem arises when I do it as a body load. Any clue?

Please login with a confirmed email address before reporting spam

Posted: 1 decade ago 12 apr 2013, 19:46 GMT-4
Hello

In the post-processing, when I extract an animation, it does show the magnetic flux; but the movement of my armature is not shown.

In the past, I could get the magnetic and structural mechanics results (Movement of the armature) in the same animation. I cannot remember how I did it! :)

Do you know how I can do this?

Thanks a lot.
Hello In the post-processing, when I extract an animation, it does show the magnetic flux; but the movement of my armature is not shown. In the past, I could get the magnetic and structural mechanics results (Movement of the armature) in the same animation. I cannot remember how I did it! :) Do you know how I can do this? Thanks a lot.

Please login with a confirmed email address before reporting spam

Posted: 1 decade ago 12 apr 2013, 19:55 GMT-4
I attache the animation I extracted. This may help.

As you can notice, the armature's movement cannot be seen!
I attache the animation I extracted. This may help. As you can notice, the armature's movement cannot be seen!


Please login with a confirmed email address before reporting spam

Posted: 1 decade ago 12 apr 2013, 21:52 GMT-4
I faced also with this problem when applying mirror to my data sets.

The solution does not seem to be exactly mirrored! Please, take a look at the attached screenshot!

Thanks for the help.
I faced also with this problem when applying mirror to my data sets. The solution does not seem to be exactly mirrored! Please, take a look at the attached screenshot! Thanks for the help.


Please login with a confirmed email address before reporting spam

Posted: 1 decade ago 14 apr 2013, 01:34 GMT-4

Hi
The "natural way" is to calcualte the force via a MF force domain node (integration over ity boundaries) and apply that as a boundary load in Solid (normally COMSOL will propose the lonk in the drop down lists

--
Good luck
Ivar


Hello Ivar

I'm trying to do the 3D modeling now. I noticed that everything is fine until I add the Electric circuit module. Even when I disable it, when I want to access the solver, it shows me an error saying " No frame is defined for 0D application". I am pretty sure it has something to do with the electric circuit module as when I delete it, the problem is resolved!

This is exact same problem in this forum:
www.comsol.com/community/forums/general/thread/34984/

But, there is no solution for it, what so ever!

Do you have any idea where this problem may have arisen from?

Thanks
[QUOTE] Hi The "natural way" is to calcualte the force via a MF force domain node (integration over ity boundaries) and apply that as a boundary load in Solid (normally COMSOL will propose the lonk in the drop down lists -- Good luck Ivar [/QUOTE] Hello Ivar I'm trying to do the 3D modeling now. I noticed that everything is fine until I add the Electric circuit module. Even when I disable it, when I want to access the solver, it shows me an error saying " No frame is defined for 0D application". I am pretty sure it has something to do with the electric circuit module as when I delete it, the problem is resolved! This is exact same problem in this forum: http://www.comsol.com/community/forums/general/thread/34984/ But, there is no solution for it, what so ever! Do you have any idea where this problem may have arisen from? Thanks


Ivar KJELBERG COMSOL Multiphysics(r) fan, retired, former "Senior Expert" at CSEM SA (CH)

Please login with a confirmed email address before reporting spam

Posted: 1 decade ago 14 apr 2013, 04:59 GMT-4
Hi

Indeed I agree the 0D equations are typically the electric circuit ones, probably there is a node linke iisue as you cannot graph your node/net map it's easy to make errors. On the other side, if you have "just a resistance or a source you can model these without the CIR phyiscs too, it's only when yo have a comlex load, or a full feedback circuit loop that I use CIR physics, for that it is very nice, but a AC source term or a simple resistive load can be added as a weak constraint too

--
Good luck
Ivar
Hi Indeed I agree the 0D equations are typically the electric circuit ones, probably there is a node linke iisue as you cannot graph your node/net map it's easy to make errors. On the other side, if you have "just a resistance or a source you can model these without the CIR phyiscs too, it's only when yo have a comlex load, or a full feedback circuit loop that I use CIR physics, for that it is very nice, but a AC source term or a simple resistive load can be added as a weak constraint too -- Good luck Ivar

Please login with a confirmed email address before reporting spam

Posted: 1 decade ago 14 apr 2013, 11:55 GMT-4
Hi

But, my electric circuit is disabled! Why does Comsol care about it?
Hi But, my electric circuit is disabled! Why does Comsol care about it?

Please login with a confirmed email address before reporting spam

Posted: 1 decade ago 14 apr 2013, 11:57 GMT-4
My circuit is an RL circuit whose L is the coil of my model! Do you have any simpler suggestion?
My circuit is an RL circuit whose L is the coil of my model! Do you have any simpler suggestion?

Please login with a confirmed email address before reporting spam

Posted: 1 decade ago 14 apr 2013, 16:29 GMT-4
Hello Ivar

Could you please take a look at the attached picture and see what is happening when I try to run a player! :)

The armature's boundaries do not move; but the body moves! The picture should be clear. you can see the boundaries are attached to the core but the body can be seen at the bottom coming out of the surrounding air! :)

Thanks
Hello Ivar Could you please take a look at the attached picture and see what is happening when I try to run a player! :) The armature's boundaries do not move; but the body moves! The picture should be clear. you can see the boundaries are attached to the core but the body can be seen at the bottom coming out of the surrounding air! :) Thanks


Ivar KJELBERG COMSOL Multiphysics(r) fan, retired, former "Senior Expert" at CSEM SA (CH)

Please login with a confirmed email address before reporting spam

Posted: 1 decade ago 15 apr 2013, 00:59 GMT-4
Hi

sorry but from what you show there I cannot see anything "obvious and wrong" but the details are in the numerous sub nodes, the way the ALE and Solid is linked, the solver continuation / parametric sweep settings and many more

--
Good luck
Ivar
Hi sorry but from what you show there I cannot see anything "obvious and wrong" but the details are in the numerous sub nodes, the way the ALE and Solid is linked, the solver continuation / parametric sweep settings and many more -- Good luck Ivar

Please login with a confirmed email address before reporting spam

Posted: 1 decade ago 15 apr 2013, 12:20 GMT-4
Hi Ivar

I just wanted to show how the armature goes out of the air. you can see it at the bottom of the page! I did not link ale with solid specifically! I thought comsol does it automatically! Am I supposed to do anything to link them?
Hi Ivar I just wanted to show how the armature goes out of the air. you can see it at the bottom of the page! I did not link ale with solid specifically! I thought comsol does it automatically! Am I supposed to do anything to link them?

Ivar KJELBERG COMSOL Multiphysics(r) fan, retired, former "Senior Expert" at CSEM SA (CH)

Please login with a confirmed email address before reporting spam

Posted: 1 decade ago 16 apr 2013, 05:49 GMT-4
Hi

but that can be as well postprocessing and graphics, as well as true model dependent (in which case it shows rather that you have missed a BC or some definitions in the ALE)

--
Good luck
Ivar
Hi but that can be as well postprocessing and graphics, as well as true model dependent (in which case it shows rather that you have missed a BC or some definitions in the ALE) -- Good luck Ivar

Please login with a confirmed email address before reporting spam

Posted: 1 decade ago 22 apr 2013, 18:01 GMT-4
Hi Ivar

I removed the solver and attached a clean file.

I would appreciate it if you could take a look and tell me what I'm doing wrong. I'm referring to the animation that does not show the motion of the armature (Mentioned before)

You need to run the file first.

Thanks
Hi Ivar I removed the solver and attached a clean file. I would appreciate it if you could take a look and tell me what I'm doing wrong. I'm referring to the animation that does not show the motion of the armature (Mentioned before) You need to run the file first. Thanks


Please login with a confirmed email address before reporting spam

Posted: 1 decade ago 22 apr 2013, 20:58 GMT-4
Also, the magnetic flux density lines look a little awkward except for t=0 and at the end!

Do you know why that happens?
Also, the magnetic flux density lines look a little awkward except for t=0 and at the end! Do you know why that happens?

Ivar KJELBERG COMSOL Multiphysics(r) fan, retired, former "Senior Expert" at CSEM SA (CH)

Please login with a confirmed email address before reporting spam

Posted: 1 decade ago 23 apr 2013, 05:16 GMT-4
Hi

I have several issues here:

1) you are in 2D and not 2D axi, and your coil is a simple wire its not "looping around", is that so ?
2) you are mixing many physics and their linking is not correct, you are starting very though

My advice is to start again, but one physics at the time, i.e. first set up your coil and iron + air and do a MF and get theat running, then try only with solid, see if you acn get the fixed and mobile part to stay respectively fall off with a gravity load
then only try to combine.

There are far too many things to correct for me in your present model

--
Good luck
Ivar
Hi I have several issues here: 1) you are in 2D and not 2D axi, and your coil is a simple wire its not "looping around", is that so ? 2) you are mixing many physics and their linking is not correct, you are starting very though My advice is to start again, but one physics at the time, i.e. first set up your coil and iron + air and do a MF and get theat running, then try only with solid, see if you acn get the fixed and mobile part to stay respectively fall off with a gravity load then only try to combine. There are far too many things to correct for me in your present model -- Good luck Ivar

Please login with a confirmed email address before reporting spam

Posted: 1 decade ago 23 apr 2013, 09:15 GMT-4
Hi

I did model the system as you said! In solid mechanics, I used prescribed displacement and I could see the movement of the armature and its combination with MF.

Could you tell me how I can modify the current modelling? Do you confirm my Moving mesh?

I really appreciate your help.

Thanks again
Hi I did model the system as you said! In solid mechanics, I used prescribed displacement and I could see the movement of the armature and its combination with MF. Could you tell me how I can modify the current modelling? Do you confirm my Moving mesh? I really appreciate your help. Thanks again

Ivar KJELBERG COMSOL Multiphysics(r) fan, retired, former "Senior Expert" at CSEM SA (CH)

Please login with a confirmed email address before reporting spam

Posted: 1 decade ago 23 apr 2013, 13:58 GMT-4
Hi

but do you have a coil or a long wire ? if you have a coil, start working in 2D-axi, and limit yourself to the r>0 right hand side of the axis for ALL geoemtry


--
Good luck
Ivar
Hi but do you have a coil or a long wire ? if you have a coil, start working in 2D-axi, and limit yourself to the r>0 right hand side of the axis for ALL geoemtry -- Good luck Ivar

Please login with a confirmed email address before reporting spam

Posted: 1 decade ago 23 apr 2013, 14:05 GMT-4
Hi

Thanks.
I have a coil; but isn't 2D-axi just for when I have an axis of rotation?

I attach the 3D view of my system. Armature will place on this part. This shows the core and the coil.

thanks
Hi Thanks. I have a coil; but isn't 2D-axi just for when I have an axis of rotation? I attach the 3D view of my system. Armature will place on this part. This shows the core and the coil. thanks


Ivar KJELBERG COMSOL Multiphysics(r) fan, retired, former "Senior Expert" at CSEM SA (CH)

Please login with a confirmed email address before reporting spam

Posted: 1 decade ago 24 apr 2013, 05:29 GMT-4
Hi

you are right, so you have a looong coil ;)
then 2D is correct but you should simulate a cut in the middle and use either a full "left" & "right" model or apply a correct symmetry /antisymmetry for the curent flow at x=0

Later you might consider 3D, but that demands far more CPU power and particularly time

--
Good luck
Ivar
Hi you are right, so you have a looong coil ;) then 2D is correct but you should simulate a cut in the middle and use either a full "left" & "right" model or apply a correct symmetry /antisymmetry for the curent flow at x=0 Later you might consider 3D, but that demands far more CPU power and particularly time -- Good luck Ivar

Please login with a confirmed email address before reporting spam

Posted: 1 decade ago 24 apr 2013, 10:19 GMT-4
Thanks Ivar

Besides Modeling,do you think the configuration of my other modules, in details, are fine or I should modify them as well?

Thanks again
Thanks Ivar Besides Modeling,do you think the configuration of my other modules, in details, are fine or I should modify them as well? Thanks again

Please login with a confirmed email address before reporting spam

Posted: 1 decade ago 15 mag 2013, 12:40 GMT-4
Hey Guys,

I am trying to get the force between a my armature and stator in a linear damper. I have attached a copy of my model.

In the armature I have an iron pole sandwiched by 2 permanent magnets. The coils are short circuited and as the magnets and iron are moving, the coils are being excited and generate a magnetic field to stop armature from moving. how can i calculate the total damping force that is applied to the whole armature?

There is a force calculation node in ACDC but I do not know whether I should applied to the whole armature or only magnets?

Assuming everything is solid with no deflection, Do I still need solid mechanic physics?

Can you give a a big picture here to start? is there a similar example?
PS. I have seen some example but none of them had this moving mesh that I have!

Thanks,
Ehsan
Hey Guys, I am trying to get the force between a my armature and stator in a linear damper. I have attached a copy of my model. In the armature I have an iron pole sandwiched by 2 permanent magnets. The coils are short circuited and as the magnets and iron are moving, the coils are being excited and generate a magnetic field to stop armature from moving. how can i calculate the total damping force that is applied to the whole armature? There is a force calculation node in ACDC but I do not know whether I should applied to the whole armature or only magnets? Assuming everything is solid with no deflection, Do I still need solid mechanic physics? Can you give a a big picture here to start? is there a similar example? PS. I have seen some example but none of them had this moving mesh that I have! Thanks, Ehsan


Please login with a confirmed email address before reporting spam

Posted: 1 decade ago 15 mag 2013, 14:57 GMT-4
Hi again,


I have done something and I want to know whether that solves the problem or not!

I added a force calculation to mf domain and include the magnet and iron parts domains. the result is sinusoidal (and more than what it is supposed to be). Does it help? does it also calculate gravity or something?


Thanks,
Ehsan
Hi again, I have done something and I want to know whether that solves the problem or not! I added a force calculation to mf domain and include the magnet and iron parts domains. the result is sinusoidal (and more than what it is supposed to be). Does it help? does it also calculate gravity or something? Thanks, Ehsan


Please login with a confirmed email address before reporting spam

Posted: 1 decade ago 21 mag 2013, 20:59 GMT-4
Hi

It does not calculate the gravity but if you had defined it.

Check the property values in the material section.

Good Luck
Hi It does not calculate the gravity but if you had defined it. Check the property values in the material section. Good Luck

Note that while COMSOL employees may participate in the discussion forum, COMSOL® software users who are on-subscription should submit their questions via the Support Center for a more comprehensive response from the Technical Support team.