Note: This discussion is about an older version of the COMSOL Multiphysics® software. The information provided may be out of date.

Discussion Closed This discussion was created more than 6 months ago and has been closed. To start a new discussion with a link back to this one, click here.

PDE solving or defining force in terms of displacement

Please login with a confirmed email address before reporting spam

Hi,
I hope you are doing well,
I am a new user of Comsol.
At this moment, I am trying to model a cantilever beam with an applied force on its edge as a function of displacement.
So, what I need is either:
define the force on the boundary as a function of displacement. I am trying to do this in equation view but it seems that it does not take expression and it asks me just values in x and y directions.
or:
write a PDE and try to solve it. The equation is derived from the Euler-Bernoulli theory as:
EI uxxxx=F(u)
I tried to find a predefined PDE and change the coefficients but I could not to do it.
Could you please help me on this issue?

5 Replies Last Post 30 apr 2013, 03:30 GMT-4
Ivar KJELBERG COMSOL Multiphysics(r) fan, retired, former "Senior Expert" at CSEM SA (CH)

Please login with a confirmed email address before reporting spam

Posted: 1 decade ago 19 feb 2013, 00:50 GMT-5
Hi

you cannot use directly a 4th derivative of a dependent variable. COMSOL is only set up for 2nd derivatives "uxx" you must create a new dependent variable defend as the 2nd derivative, ensure you use 2nd order discretization or more (the default) and then couple in this equation. There are more written about higher order derivatives in the KB (knowledge Base) on the main COMSOL site, as well elsewhere on the FORUM

--
Good luck
Ivar
Hi you cannot use directly a 4th derivative of a dependent variable. COMSOL is only set up for 2nd derivatives "uxx" you must create a new dependent variable defend as the 2nd derivative, ensure you use 2nd order discretization or more (the default) and then couple in this equation. There are more written about higher order derivatives in the KB (knowledge Base) on the main COMSOL site, as well elsewhere on the FORUM -- Good luck Ivar

Please login with a confirmed email address before reporting spam

Posted: 1 decade ago 19 feb 2013, 11:39 GMT-5
Dear Ivar,
Thanks for your helpful comments. I defined the PDE applied on a simple beam.
I used the general form PDE and defined:
u=(hst,p)
hst=u+h0/h0 (hst is a non dimensional variable based on u,defined in the global defintion-variable and u is dispalcement of the beam)

and the main PDE is:
pxx=f
(hst)xx=p
where f is defined in the global definition-analytic as a function of hst and other constants all which are defined.
right now, my problem is in the definition of the boundary condition which are:
hst (0,y)=1
hstx(0,y)=0
and
p(L,y)=px(L,y)=0
since I have derivation of the variable in the boundary, it seems that the Dirichlet boundary conditons can no tbe used.
Could you please help me on it?
I have attached the model.
Dear Ivar, Thanks for your helpful comments. I defined the PDE applied on a simple beam. I used the general form PDE and defined: u=(hst,p) hst=u+h0/h0 (hst is a non dimensional variable based on u,defined in the global defintion-variable and u is dispalcement of the beam) and the main PDE is: pxx=f (hst)xx=p where f is defined in the global definition-analytic as a function of hst and other constants all which are defined. right now, my problem is in the definition of the boundary condition which are: hst (0,y)=1 hstx(0,y)=0 and p(L,y)=px(L,y)=0 since I have derivation of the variable in the boundary, it seems that the Dirichlet boundary conditons can no tbe used. Could you please help me on it? I have attached the model.


Ivar KJELBERG COMSOL Multiphysics(r) fan, retired, former "Senior Expert" at CSEM SA (CH)

Please login with a confirmed email address before reporting spam

Posted: 1 decade ago 20 feb 2013, 16:45 GMT-5
Hi

your analytical equation " f=(w*Ah*L^4/6*pi*h0^4*E*I)/hst^3" is not correct the "f=" should not be here, or is it f* you meant ? Bu you cannot define F from an1() if it contains also "f"

but then you must also define f somewhere, such as in mod1 - Definition - Variables f = an1(hst)

then as hst is a "field", that is hst(x,y,z,t) you cannot define it outside the mod1 node, it must be defined on the domain under mod1 - Definitions - analytical function

but still I get an error, COMSOL has problems deriving the analytical function defined as is, which is understandable, as the initial conditions are set to "0" for both p and hst, and your analytical function is defined as "/hst^3" which gives NAN for hst = 0

furthermore hst is define as a dependent variable one of the two components of "_u_" but you redefine hst = h0+u/h0 as a global variable, this does not make sense and anyhow "u" is not defined its a generic "vector name" (it should be in "bold" to avoid the convfusion but COMSOL is slightly floppy on this point


To be honest I do neither not understand your PDE ;)

--
Good luck
Ivar
Hi your analytical equation " f=(w*Ah*L^4/6*pi*h0^4*E*I)/hst^3" is not correct the "f=" should not be here, or is it f* you meant ? Bu you cannot define F from an1() if it contains also "f" but then you must also define f somewhere, such as in mod1 - Definition - Variables f = an1(hst) then as hst is a "field", that is hst(x,y,z,t) you cannot define it outside the mod1 node, it must be defined on the domain under mod1 - Definitions - analytical function but still I get an error, COMSOL has problems deriving the analytical function defined as is, which is understandable, as the initial conditions are set to "0" for both p and hst, and your analytical function is defined as "/hst^3" which gives NAN for hst = 0 furthermore hst is define as a dependent variable one of the two components of "_u_" but you redefine hst = h0+u/h0 as a global variable, this does not make sense and anyhow "u" is not defined its a generic "vector name" (it should be in "bold" to avoid the convfusion but COMSOL is slightly floppy on this point To be honest I do neither not understand your PDE ;) -- Good luck Ivar

Please login with a confirmed email address before reporting spam

Posted: 1 decade ago 25 feb 2013, 11:45 GMT-5
Dear Ivar,
I simplified the problem and the PDE.
A simple description of the PDE:
The main PDE to be solved is:
hxxxx=C/h^3
So you can see that, the term in the right hand depends (C/h^3) on the dependent variable h.
To solve this PDE, I used general form PDE, and defined two dependent variables Gamma (Conservative flux) as: Gamma1=px and Gamma2=hx and , and source term f as : f1= C/h^3 and f2=p
So we have from this setting, we have:
hxx=p
pxx=hxxxx=C/h^3
The boundary conditions are :
h(0)=p(L)=0, I used the Drichlet boundary condition for this
Gamma2(0)=Gamma1(L)=0 ( the same as hx(0)=px(L)=0). I Used Flux/source boundary condition for this. But it sets both of Gamma zero that is one of my problem, Since I like to set Gamma1 or Gamma2 zero not both of them.
I tried to solve the problem, and received this message: Undefined value found in the equation residual vector.
I have used enough boundary conditions and a good mesh.
When I change the equation to hxxxx=C, it can be solved. So it seems that C/h^3, is the source of difficulty. I have attached the model, Could you please take a look into it and let me know if there is a method to resolve this issue?



Dear Ivar, I simplified the problem and the PDE. A simple description of the PDE: The main PDE to be solved is: hxxxx=C/h^3 So you can see that, the term in the right hand depends (C/h^3) on the dependent variable h. To solve this PDE, I used general form PDE, and defined two dependent variables Gamma (Conservative flux) as: Gamma1=px and Gamma2=hx and , and source term f as : f1= C/h^3 and f2=p So we have from this setting, we have: hxx=p pxx=hxxxx=C/h^3 The boundary conditions are : h(0)=p(L)=0, I used the Drichlet boundary condition for this Gamma2(0)=Gamma1(L)=0 ( the same as hx(0)=px(L)=0). I Used Flux/source boundary condition for this. But it sets both of Gamma zero that is one of my problem, Since I like to set Gamma1 or Gamma2 zero not both of them. I tried to solve the problem, and received this message: Undefined value found in the equation residual vector. I have used enough boundary conditions and a good mesh. When I change the equation to hxxxx=C, it can be solved. So it seems that C/h^3, is the source of difficulty. I have attached the model, Could you please take a look into it and let me know if there is a method to resolve this issue?


Please login with a confirmed email address before reporting spam

Posted: 1 decade ago 30 apr 2013, 03:30 GMT-4
Good day,

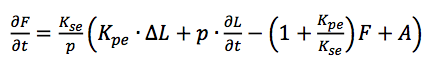
I am currently working on a 3D model of muscle fiber displacement and I am having difficulty applying an analytical equation into COMSOL. The force is a time derivative and a function of displacement. I have attached an image of the equation below. Note that all the terms are constant except partial(L)/partial(t). How can this equation be implemented into COMSOL as a force? Please Advise.

Best,

Shoaib A.
Good day, I am currently working on a 3D model of muscle fiber displacement and I am having difficulty applying an analytical equation into COMSOL. The force is a time derivative and a function of displacement. I have attached an image of the equation below. Note that all the terms are constant except partial(L)/partial(t). How can this equation be implemented into COMSOL as a force? Please Advise. Best, Shoaib A.

Note that while COMSOL employees may participate in the discussion forum, COMSOL® software users who are on-subscription should submit their questions via the Support Center for a more comprehensive response from the Technical Support team.