Note: This discussion is about an older version of the COMSOL Multiphysics® software. The information provided may be out of date.

Discussion Closed This discussion was created more than 6 months ago and has been closed. To start a new discussion with a link back to this one, click here.

Plotting Electric Field Gradient and "Dome-shaped" Electrical Field of Microelectrodes

Please login with a confirmed email address before reporting spam

Hi

I am using AC/DC module to simulate the electric field distribution over a microelectrode when applying AC input voltage. I manged to get the total electric field distribution E (V/m) over the microelectrode, its expression is "ec.normE".

However, I have two problems:

1) How can I plot the electric field gradient ∇|E2|? Its unit is (V2/m3).

2) Can Comsol plot the electric field in such a way it shows the "dome-shaped" electrical field?
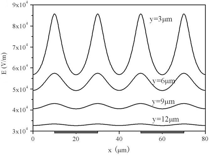
Please refer to the attachment to see an example of "dome-shaped" electrical field.


Could anyone please help me in either questions?

Your help is much appreciated.

Bashar


8 Replies Last Post 31 gen 2017, 09:18 GMT-5
Ivar KJELBERG COMSOL Multiphysics(r) fan, retired, former "Senior Expert" at CSEM SA (CH)

Please login with a confirmed email address before reporting spam

Posted: 1 decade ago 17 giu 2012, 15:15 GMT-4
Hi

You want the gradient of the norm squared ? or something like (d(ec.normE^2,x), d(ec.normE^2,y), d(ec.normE^2,z))
I'm not sre it will work, but have a try (I'm not by my WS tonight ;), the gradient of the field are already there in COMSOL, the easiest to learn all the existing variables, is to enable the Equation view, and go through the lists of all variables

--
Good luck
Ivar
Hi You want the gradient of the norm squared ? or something like (d(ec.normE^2,x), d(ec.normE^2,y), d(ec.normE^2,z)) I'm not sre it will work, but have a try (I'm not by my WS tonight ;), the gradient of the field are already there in COMSOL, the easiest to learn all the existing variables, is to enable the Equation view, and go through the lists of all variables -- Good luck Ivar

Please login with a confirmed email address before reporting spam

Posted: 1 decade ago 17 giu 2012, 23:21 GMT-4
Thank you very much, Ivar. You helped me!
Thank you very much, Ivar. You helped me!

Please login with a confirmed email address before reporting spam

Posted: 1 decade ago 7 ago 2012, 11:50 GMT-4
Dear Ivar,

I am working on cell separation with dielectrophoresis, AC module, and would like to use comsol for simulation. I have my design, but get stuck on entering right formula of gradient of the norm squared, would you please give me a hand on how to do this?

Thanks

Yibei Zhao
Dear Ivar, I am working on cell separation with dielectrophoresis, AC module, and would like to use comsol for simulation. I have my design, but get stuck on entering right formula of gradient of the norm squared, would you please give me a hand on how to do this? Thanks Yibei Zhao

Ivar KJELBERG COMSOL Multiphysics(r) fan, retired, former "Senior Expert" at CSEM SA (CH)

Please login with a confirmed email address before reporting spam

Posted: 1 decade ago 8 ago 2012, 01:12 GMT-4
Hi

check the COMSOL formulas, (Options - Preferences - Show - Equations view ON) and adapt from those

--
Good luck
Ivar
Hi check the COMSOL formulas, (Options - Preferences - Show - Equations view ON) and adapt from those -- Good luck Ivar

Please login with a confirmed email address before reporting spam

Posted: 1 decade ago 8 ago 2012, 13:21 GMT-4
Thank you very much Ivar, I just want to clarify if ther version you refered is the newst one. I am using comsol 3.5, and could not find "show" under preference. Is there any differeences of seeing equations in version 3.5 and the newest?

Thanks

Yibei
Thank you very much Ivar, I just want to clarify if ther version you refered is the newst one. I am using comsol 3.5, and could not find "show" under preference. Is there any differeences of seeing equations in version 3.5 and the newest? Thanks Yibei

Ivar KJELBERG COMSOL Multiphysics(r) fan, retired, former "Senior Expert" at CSEM SA (CH)

Please login with a confirmed email address before reporting spam

Posted: 1 decade ago 9 ago 2012, 09:11 GMT-4
Hi

sorry I hadn't noticed that, yes there are many differences in the user interface between the two version, I cannot clearly remember now where it was hidden in 3.5, in one of the sub tabs of the physics, or via the main menu.
But try a search on the FORUM with the 3.5 key word, it has been mentioned a few times there
You have also full access to the variables, in v3.5, and can edit them (and reset them back to defaults with a single click ;)

--
Good luck
Ivar
Hi sorry I hadn't noticed that, yes there are many differences in the user interface between the two version, I cannot clearly remember now where it was hidden in 3.5, in one of the sub tabs of the physics, or via the main menu. But try a search on the FORUM with the 3.5 key word, it has been mentioned a few times there You have also full access to the variables, in v3.5, and can edit them (and reset them back to defaults with a single click ;) -- Good luck Ivar

Please login with a confirmed email address before reporting spam

Posted: 9 years ago 1 nov 2016, 13:16 GMT-4
Hi,

How did COMSOL allow you to input commas ' , ' in the equation:

(d(ec.normE^2,x), d(ec.normE^2,y), d(ec.normE^2,z))



It throws exception when i try to configure this as my 2-D plot's equation.
Hi, How did COMSOL allow you to input commas ' , ' in the equation: (d(ec.normE^2,x), d(ec.normE^2,y), d(ec.normE^2,z)) It throws exception when i try to configure this as my 2-D plot's equation.

Please login with a confirmed email address before reporting spam

Posted: 9 years ago 31 gen 2017, 09:18 GMT-5
hi,

did you find a way how to get gradient of electric field????
hi, did you find a way how to get gradient of electric field????

Note that while COMSOL employees may participate in the discussion forum, COMSOL® software users who are on-subscription should submit their questions via the Support Center for a more comprehensive response from the Technical Support team.