Discussion Closed This discussion was created more than 6 months ago and has been closed. To start a new discussion with a link back to this one, click here.
PML in structural mechanics module
Posted 8 nov 2020, 22:36 GMT-5 LiveLink for MATLAB, Structural Mechanics Version 5.5 0 Replies
Please login with a confirmed email address before reporting spam
Hello everyone!
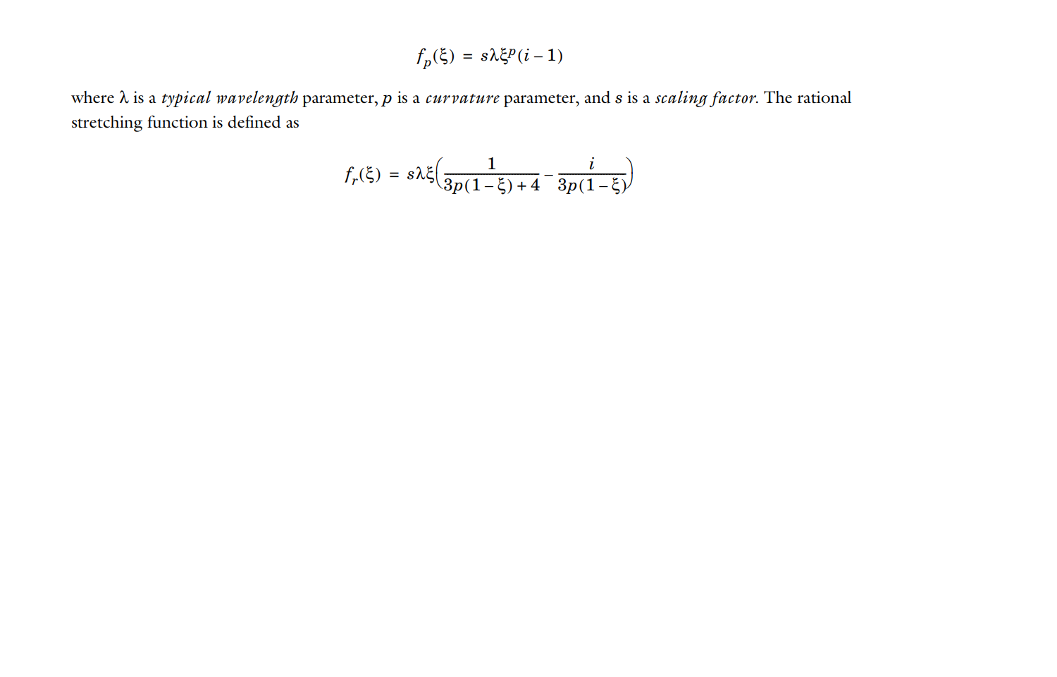
Is there any way I can change the polynomial or rational functional used in PML through Livelink for matlab?I have attatched that function here.
And also while using PML in structural mechanics module, I am not able to use the option for user defined PML.Is there any way to change that?
Thanks
Attachments:
Hello Upanya Khandelwal
Your Discussion has gone 30 days without a reply. If you still need help with COMSOL and have an on-subscription license, please visit our Support Center for help.
If you do not hold an on-subscription license, you may find an answer in another Discussion or in the Knowledge Base.

