Discussion Closed This discussion was created more than 6 months ago and has been closed. To start a new discussion with a link back to this one, click here.
SDOF (mechanical simple oscillator)
Posted 17 dic 2019, 15:09 GMT-5 Structural & Acoustics, Studies & Solvers, Structural Mechanics Version 5.3a 1 Reply
Please login with a confirmed email address before reporting spam
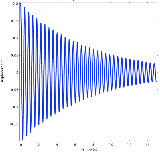
Hi, I've a problem with the mechanical simple oscillator. I do the system with node pinned, spring and mass, then I launch the calculation. I wait the sinousoidal graph, but the result is a sinousoidal graph tending to zero. I don't set a damper. Why ? Where am i wrong ?
P.s. I've attached the graph
