Discussion Closed This discussion was created more than 6 months ago and has been closed. To start a new discussion with a link back to this one, click here.
Strange temperature drop in appendix
Posted 13 nov 2019, 03:52 GMT-5 Heat Transfer & Phase Change, Heat Transfer, Results & Visualization Version 5.4 0 Replies
Please login with a confirmed email address before reporting spam
Hello,
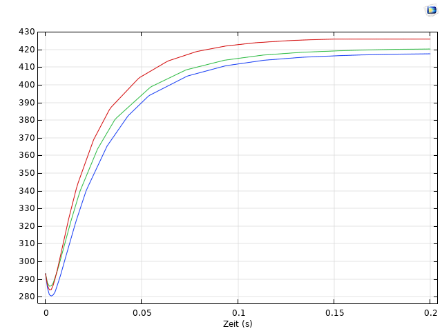
I have been modelling with COMSOL on a sealing seam of an aluminium composite film (PET, Al, PE) for quite some time. The basic principle is: Two hot beams heat two films on top of each other so that the two layers of PE melt together. As can be seen in the appendix, my temperatures between the two films (which are to be sealed) first go down instead of continuously up. The film has room temperature and the ambient temperature is also at room temperature, so there are no temperatures below the starting temperature anywhere. Where could the error be?
I also wonder how I can integrate the aggregate state change from PE. So that you can see that the material melts and also at which time. You should also be able to see this in the graph, I guess.
Best regards Marvin Stefan
Attachments:
Hello Marvin Stefan
Your Discussion has gone 30 days without a reply. If you still need help with COMSOL and have an on-subscription license, please visit our Support Center for help.
If you do not hold an on-subscription license, you may find an answer in another Discussion or in the Knowledge Base.
