Discussion Closed This discussion was created more than 6 months ago and has been closed. To start a new discussion with a link back to this one, click here.

Symmetric Sum Notation

Please login with a confirmed email address before reporting spam

Hi all,

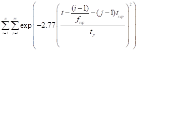
I want to excuite the Symmetric Sum Notation in comsol , please help me out to implement this function (appended in the below) in comsol.

thanks Kiran



0 Replies Last Post 21 giu 2019, 02:49 GMT-4
COMSOL Moderator

Hello Kiran Kabothu

Your Discussion has gone 30 days without a reply. If you still need help with COMSOL and have an on-subscription license, please visit our Support Center for help.

If you do not hold an on-subscription license, you may find an answer in another Discussion or in the Knowledge Base.

Note that while COMSOL employees may participate in the discussion forum, COMSOL® software users who are on-subscription should submit their questions via the Support Center for a more comprehensive response from the Technical Support team.