Discussion Closed This discussion was created more than 6 months ago and has been closed. To start a new discussion with a link back to this one, click here.
Interpolation from figure data
Posted 11 apr 2018, 11:27 GMT-4 Heat Transfer & Phase Change, Computational Fluid Dynamics (CFD), Parameters, Variables, & Functions Version 5.2a 2 Replies
Please login with a confirmed email address before reporting spam
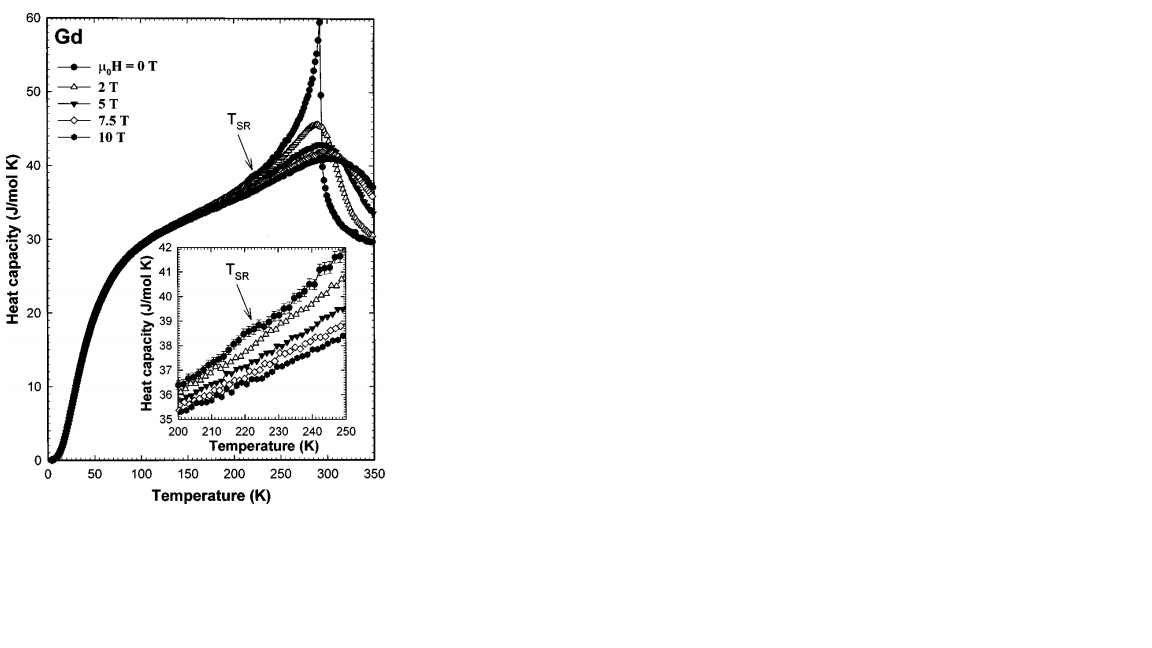
Hello, Recently I'm trying to use comsol for evaluating the term source of my model, the term source depends of two variables, the heat capacity and magnetization that i don't have the table data.
the corresponding data available of heat capacity as the function of T and µ0H is shown in this figure;
How can i exploit this figure and use it for the interpolation function in order to evaluate the term source. Should i import it in the table. if yes, which technique or how can i do it? thank you
Attachments:
