Note: This discussion is about an older version of the COMSOL Multiphysics® software. The information provided may be out of date.

Discussion Closed This discussion was created more than 6 months ago and has been closed. To start a new discussion with a link back to this one, click here.

Modeling of ferrite materials

Please login with a confirmed email address before reporting spam

Hi all,

could anyone recommend good literature on the modeling of ferrite materials? I am especially interested in hysteresis losses.

Best regards
Matthias

6 Replies Last Post 23 apr 2012, 13:13 GMT-4
COMSOL Moderator

Hello Matthias Richwin

Your Discussion has gone 30 days without a reply. If you still need help with COMSOL and have an on-subscription license, please visit our Support Center for help.

If you do not hold an on-subscription license, you may find an answer in another Discussion or in the Knowledge Base.


Please login with a confirmed email address before reporting spam

Posted: 1 decade ago 1 giu 2011, 10:27 GMT-4
I am wondering the same thing. Any update on this, or even with eddy current loss as the case may be? Thank you ahead of time.

Brock
I am wondering the same thing. Any update on this, or even with eddy current loss as the case may be? Thank you ahead of time. Brock

Please login with a confirmed email address before reporting spam

Posted: 1 decade ago 3 giu 2011, 03:34 GMT-4
Hi,

no, nothing really useful yet. But I wasn't looking full time into the topic.

Regards
Matthias
Hi, no, nothing really useful yet. But I wasn't looking full time into the topic. Regards Matthias

Please login with a confirmed email address before reporting spam

Posted: 1 decade ago 25 ago 2011, 12:38 GMT-4
Hey, I'm not sure if you ever got to answer this yourself, but Akmal on this thread www.comsol.com/community/forums/general/thread/18952/ shared an example of Hysteresis losses using the Jiles-Atherton method. I haven't been able to look into it too much, but it seems very clean and simple and it appears to give hysteresis using a time dependent simulation.

FYI, i'm pretty sure it requires 4.2 to open.

~Brock
Hey, I'm not sure if you ever got to answer this yourself, but Akmal on this thread http://www.comsol.com/community/forums/general/thread/18952/ shared an example of Hysteresis losses using the Jiles-Atherton method. I haven't been able to look into it too much, but it seems very clean and simple and it appears to give hysteresis using a time dependent simulation. FYI, i'm pretty sure it requires 4.2 to open. ~Brock

Please login with a confirmed email address before reporting spam

Posted: 1 decade ago 22 set 2011, 20:32 GMT-4
Hi everyone,

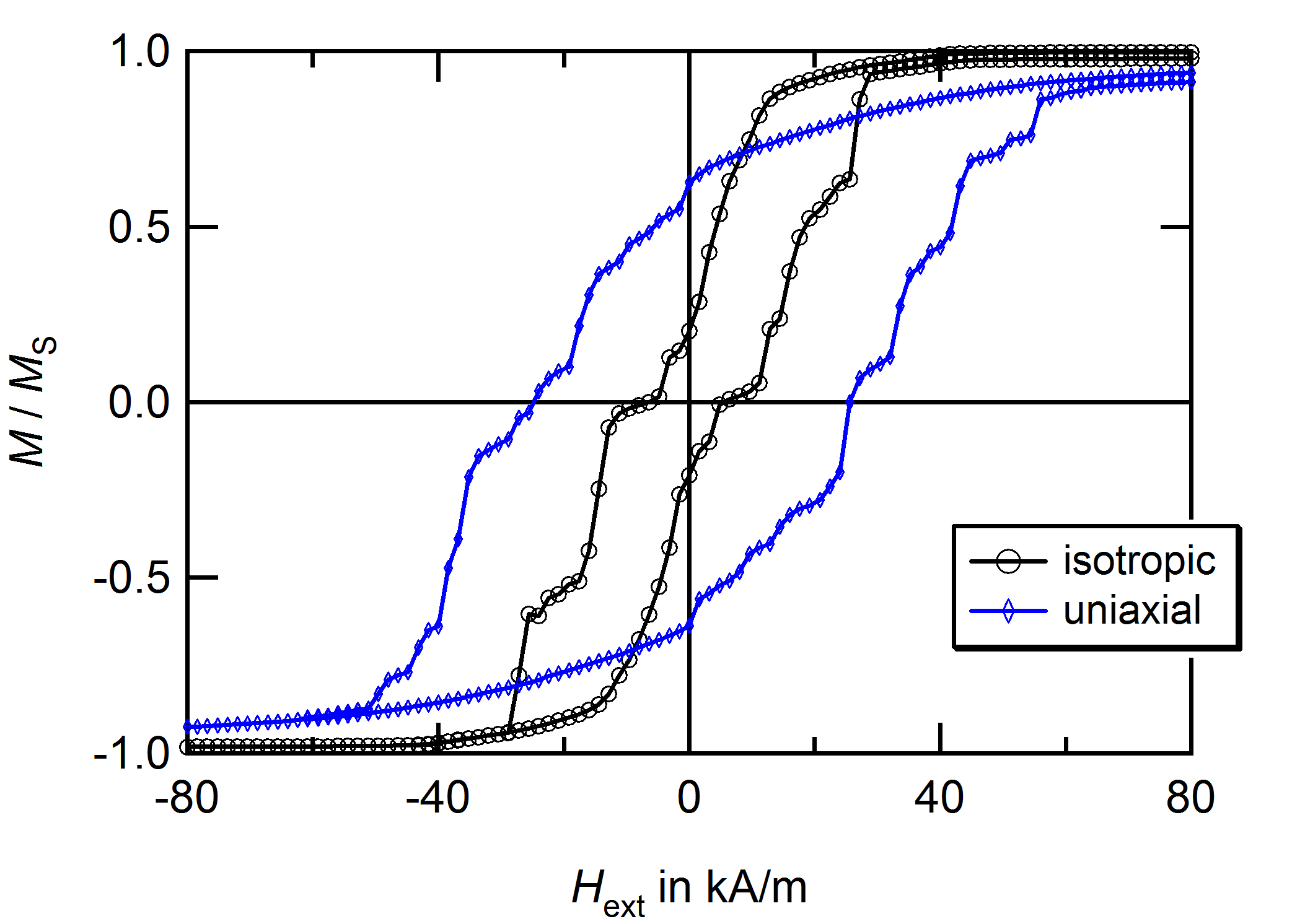
I do not know if you are still looking for an appropriate modeling approach. However, I attached a picture of a hysteresis loop calculated with COMSOL. For more information, see

www.comsol.com/community/forums/general/thread/22468/

Kind regards,
Alex
Hi everyone, I do not know if you are still looking for an appropriate modeling approach. However, I attached a picture of a hysteresis loop calculated with COMSOL. For more information, see http://www.comsol.com/community/forums/general/thread/22468/ Kind regards, Alex


Please login with a confirmed email address before reporting spam

Posted: 1 decade ago 19 apr 2012, 02:49 GMT-4

...it seems very clean and simple and it appears to give hysteresis using a time dependent simulation.


Hi Brock,

I just got the same effect - hysteresis in time dependent simulation. Do you know how COMSOL calculates this hysteresis? I cannot find any reference in COMSOL documentation.

Best regards,
Dima.

--
Dima Apter
A2Z Consulting Ltd.
www.a2z-consulting.com
[QUOTE] ...it seems very clean and simple and it appears to give hysteresis using a time dependent simulation. [/QUOTE] Hi Brock, I just got the same effect - hysteresis in time dependent simulation. Do you know how COMSOL calculates this hysteresis? I cannot find any reference in COMSOL documentation. Best regards, Dima. -- Dima Apter A2Z Consulting Ltd. www.a2z-consulting.com

Please login with a confirmed email address before reporting spam

Posted: 1 decade ago 23 apr 2012, 13:13 GMT-4
It really depends on the modeling method. I only have experience with the one Jiles-Atherton, but it basically is yourself modeling it and not COMSOL, they are just mathematical equations that switch sign depending on the direction of change (in this case) of magnetic field. I'm sorry I can't get too much more in depth than that. They did tell me at one point, they are working on making it more robust and applicable in a future version, but I have no idea when that would be.
It really depends on the modeling method. I only have experience with the one Jiles-Atherton, but it basically is yourself modeling it and not COMSOL, they are just mathematical equations that switch sign depending on the direction of change (in this case) of magnetic field. I'm sorry I can't get too much more in depth than that. They did tell me at one point, they are working on making it more robust and applicable in a future version, but I have no idea when that would be.

Note that while COMSOL employees may participate in the discussion forum, COMSOL® software users who are on-subscription should submit their questions via the Support Center for a more comprehensive response from the Technical Support team.