Scopri come la simulazione multifisica viene utilizzata per ricerca e sviluppo
In questa sezione troverete i lavori presentati alle Conferenze mondiali COMSOL. Le presentazioni descrivono ricerche e prodotti innovativi progettati con COMSOL Multiphysics da colleghi di tutto il mondo. I temi delle ricerche presentate abbracciano un'ampia gamma di settori produttivi e aree applicative, in ambito elettrico, meccanico, fluidodinamico e chimico. Lo strumento di Ricerca Rapida vi permetterà di trovare le presentazioni che si riferiscono all'area di vostro interesse.
Visualizza gli articoli presentati alla COMSOL Conference 2020
声谷赝自旋作为声学系统动量空间中频率极值对应的量子态,为声波调控提供了全新自由度;高阶拓扑绝缘体(HOTIs)拓展了传统体 - 边对应原理,是经典波调控的关键概念。然而,谷声子晶体(VSCs)中的 HOTIs 仅存在于单带隙中,限制了角态的多频选择性,不利于多频声通信器件设计。为此,本研究设计具有 C3 对称性的 “Y 型” 声子晶体,构建出双带 VSC,且其低、高频带隙内的拓扑相变完全一致,最终通过理论与实验实现了双带谷声子晶体中的高阶拓扑态,丰富了 HOTIs 在声学多频调控系统的应用,为多带声学器件设计提供了新路径。 在本研究全流程中 ... Per saperne di più
在LNG储罐内常压低温(-162℃)环境条件下,下层液态天然气与上层甲烷等气体(BOG)处于气液两相平衡状态。当储罐泵井底部LNG低温泵需要检维修时,出于安全考虑,需要向泵井内先通入氮气以吹扫置换BOG气体,在后者低于一定浓度后方可打开泵井上方井盖进行吊装作业。本研究建立了LNG储罐泵井中氮气置换BOG的二维动态模型,模拟气液相界面上方气体流动、混合与传质传热现象,并耦合了甲烷/氮气混合气体热力学模型、高温差下浮力效应与LNG在相界面的气化量,对模型关键参数的影响进行数值分析,如氮气流量、气液相界面高度和吹扫气体出口位置等。模拟结果显示,当吹扫氮气温度为20℃,流速为0 ... Per saperne di più
微纳尺度器件在芯片散热等应用中正面临严峻的传热挑战,因此需要研究材料在不同外场作用下的传热特性。本研究以 MEMS 结构为基础,构建了一种能够实现电压调控应变场的模型,以探索应变对材料热物性的影响。 我们设计了具有梳齿结构的 MEMS 模型,并在 COMSOL Multiphysics 中利用结构力学模块与 AC/DC 模块针对应变场调控进行多物理场耦合仿真(图1)。通过施加电压控制梳齿间的静电力,使器件产生应变场。由于结构复杂,直接解析计算较为困难,因此采用载荷递增法模拟不同电压下的应变分布。仿真结果表明,当电压达到约 200 V 时,梳齿结构产生约 ... Per saperne di più
The capacity degradation mechanism of lithium-ion batteries considering five aging factors is investigated by coupling the 0D thermal model with the P2D model and adding differential equations to the mathematical module. It is found that after multiple cycles of charging and discharging, ... Per saperne di più
Graphene, as a two-dimensional material with exceptional physical and chemical properties, exhibits highly tunable optical absorption within the visible spectrum. Its absorption is sensitive to polarization, the number of layers, and incident angles, making it an ideal candidate for ... Per saperne di più
Abstract Microstructure-enhanced discharges are critical for achieving higher plasma electron density and energy, offering significant potential in advanced plasma applications. A two-dimensional fluid model of pulsed dielectric barrier discharge was developed in atmospheric helium ... Per saperne di più
Electrogenerated chemiluminescence (ECL) bioassay has witnessed remarkable growth in biosensing and diagnostics. The understanding of the reaction mechanism within ECL is important for improving and designing sensitive ECL methods. Herein we developed a sidelong ECL microscopy and finite ... Per saperne di più
This paper introduces a multiphysics simulation framework for examining the impact of mechanical vibrations on lithium dendrite formation in lithium-ion batteries. We connected the lithium-ion battery, solid mechanics, and phase field physics interfaces using a custom model in COMSOL ... Per saperne di più
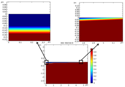
Large-aperture precision optical components are widely used in aerospace, micro-nano manufacturing, lithography, and many other fields. Their surface roughness and figure accuracy critically affect the performance of the overall optical system. When using a vertical interferometer for ... Per saperne di più
This study investigates the thermal deformation process in Surface Thermal Lensing (STL), a non-destructive technique used to characterize optical materials based on their absorption properties. A fused quartz sample (10mm10mm3.3mm) was modeled with adiabatic free boundaries on the upper ... Per saperne di più
