La Galleria delle Applicazioni raccoglie un'ampia varietà di tutorial e di app dimostrative realizzati con COMSOL Multiphysics in diversi ambiti applicativi, inclusi quelli elettrico, meccanico, fluidico e chimico. E' possibile scaricare i file dei modelli e delle app demo pronti all'uso e le istruzioni step-by-step per costruirli, e utilizzarli come punto di partenza per le proprie simulazioni.
Lo strumento di Ricerca Rapida permette di trovare i modelli che si riferiscono alla propria area di interesse.
Si noti che molti degli esempi qui presentati sono accessibili anche tramite le Librerie delle Applicazioni incorporate nel software COMSOL Multiphysics® e disponibili dal menu File.
This model computes the temperature distribution in a battery pack that is in use at a specified power. The current is controlled in Simulink® to ensure constant power during usage. Per saperne di più
This example demonstrates how to set up the classical external-flow problem of solving for the high-speed, compressible, turbulent flow over the ONERA-M6 wing. The problem involves finding a steady-state solution of the flow field around the 3D, swept wing geometry, immersed in a ... Per saperne di più
Metal hydride tanks offer safe hydrogen storage, thanks to their low reactivity, and a relatively high hydrogen density. When developing metal hydride hydrogen tank designs, modeling and simulation is useful for optimizing operating conditions, such as gas composition, pressure, and ... Per saperne di più
This model simulates the propagation of a positive streamer in a weak electric field where the process of photoionization is essential to provide seed electrons at the front of the streamer head. The simulated electric field and electron density as a function of time agree well with that ... Per saperne di più
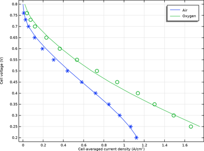
This tutorial demonstrates how to use stationary polarization data to perform parameter estimation of a polymer electrolyte membrane fuel cell (PEMFC) model. The model, defining a 5-layer membrane electrode assembly (MEA) is two-dimensional and includes electronic and ionic charge ... Per saperne di più
The Boltzmann equation can be solved to validate sets of electron impact collision cross sections. In fact, sets of collision cross sections are traditionally inferred by solving a two-term approximation to the Boltzmann equation and comparing the results to swarm experiments. This model ... Per saperne di più
This model solves the Boltzmann equation in the two-term approximation for a background of molecular and atomic hydrogen. Electron mobility and source terms are computed by suitable integration of the electron energy distribution function over electron impact cross sections. Per saperne di più
An established method for benchmarking the atmospheric corrosion resistance of materials is the use of accelerated corrosion tests (ACT) performed in climate chambers. The main purpose of the ACTs is to make reliable and fast predictions of the long time behavior. The tests expose ... Per saperne di più
KOH(aq), an alkali metal hydroxide solution, is widely used in anisotropic wet etching technology and is one of the most commonly utilized solutions for micromachining silicon wafers. Anisotropic etching refers to a process where the etching rate varies in different directions, primarily ... Per saperne di più
This model demonstrates the use of the Heat and Moisture Flow features for the simulation of superheated steam drying of a wood particle. A nonequilibrium formulation is used to compute the transport of the liquid water and vapor phases in the wood particle. Reference: Le, K. H., ... Per saperne di più
