La Galleria delle Applicazioni raccoglie un'ampia varietà di tutorial e di app dimostrative realizzati con COMSOL Multiphysics in diversi ambiti applicativi, inclusi quelli elettrico, meccanico, fluidico e chimico. E' possibile scaricare i file dei modelli e delle app demo pronti all'uso e le istruzioni step-by-step per costruirli, e utilizzarli come punto di partenza per le proprie simulazioni.
Lo strumento di Ricerca Rapida permette di trovare i modelli che si riferiscono alla propria area di interesse.
Si noti che molti degli esempi qui presentati sono accessibili anche tramite le Librerie delle Applicazioni incorporate nel software COMSOL Multiphysics® e disponibili dal menu File.
In this example, a simplified micromechanical model of a unit cell with periodic boundary conditions is analyzed. The homogenized elastic and thermal properties of a composite material are computed based on individual properties of fiber and matrix. A comparison of numerical values are ... Per saperne di più
As integrated circuit (IC) technology advances, with circuits becoming more powerful and compact, it is increasingly important to identify and prevent any cause of circuit failure. One particularly critical factor contributing to circuit failure is electromigration within the ... Per saperne di più
This example shows how to use response spectrum analysis to verify the integrity of a structure that is exposed to an earthquake. The building is modeled as a steel frame, using beam elements. Displacements and stresses are computed. Per saperne di più
The fluid flow in seals causes a strong restoring radial force, opposing the shaft motion. Also, there is a cross coupled force due to the axial variation of the circumferential flow. The first type of force always has a stabilizing effect on the rotor, whereas the second one in certain ... Per saperne di più
In this example, the Bergstrom–Bischoff material model is used to model the temperature and strain dependent behavior of High Density Polyethylene (HDPE) used, for example, to make liners for damaged pipes in oil and gas applications, or to make type IV hydrogen storage vessels for fuel ... Per saperne di più
Powder compaction is a popular manufacturing process not only in powder metallurgy, but also in the pharmaceutical industry. The Capped Drucker–Prager model is commonly used for simulating the compaction processes of pharmaceutical powders, where the material properties depend on the ... Per saperne di più
The powder compaction process is becoming common in the manufacturing industry, thanks to its potential to produce components of complex shape and high strength. In this example, the compaction of iron powder to form an axisymmetric rotational flanged component is analyzed with capped ... Per saperne di più
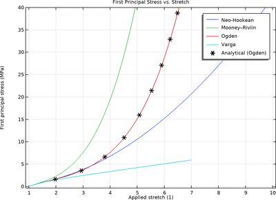
This model demonstrates the inflation of a rubber balloon with four different hyperelastic material models. The results are compared with the analytical solution for a thin-walled, spherical vessel. Controlling the inflation of hyperelastic balloons is important in clinical ... Per saperne di più
Chain drives are used for transmitting power from one shaft to another, located at some distance. This example simulates the dynamics of a chain sprocket assembly in 2D. The geometry consists of a roller chain wrapped around two sprockets. Both chain links and sprockets are assumed to be ... Per saperne di più
How well you can strike a golf ball is not only determined by your muscle strength, but more importantly it is influenced by the mechanics of golf swing. The outcome of golf stroke is basically determined by the movement of the club head just prior to the impact with the ball. In this ... Per saperne di più
