La Galleria delle Applicazioni raccoglie un'ampia varietà di tutorial e di app dimostrative realizzati con COMSOL Multiphysics in diversi ambiti applicativi, inclusi quelli elettrico, meccanico, fluidico e chimico. E' possibile scaricare i file dei modelli e delle app demo pronti all'uso e le istruzioni step-by-step per costruirli, e utilizzarli come punto di partenza per le proprie simulazioni.
Lo strumento di Ricerca Rapida permette di trovare i modelli che si riferiscono alla propria area di interesse.
Si noti che molti degli esempi qui presentati sono accessibili anche tramite le Librerie delle Applicazioni incorporate nel software COMSOL Multiphysics® e disponibili dal menu File.
Liquid-solid mixtures (suspensions) are important in a variety of industrial fields, such as oil and gas refinement, paper manufacturing, food processing, slurry transport, and wastewater treatment. Several different modeling approaches have been developed by the CFD community, ranging ... Per saperne di più
The following example demonstrates techniques for modeling a fluid-structure interaction containing two fluid phases in COMSOL Multiphysics. It illustrates how a heavier fluid can induce movement in an obstacle using the arbitrary Lagrangian-Eulerian (ALE) technique along with the Two ... Per saperne di più
This example demonstrate two-phase flow in a porous medium which contains a low permeable lens. The heavier phase infiltrates the porous medium, so the low permeable lens is infiltrated only when a critical saturation at the outside is reached. Per saperne di più
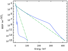
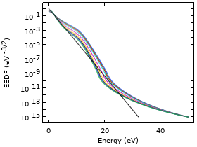
The electron energy distribution function (EEDF) plays an important role in the overall behavior of discharges. In this example, the formation period of an Argon plasma is studied with special attention paid to the EEDF. The plasma is created within a 4 cm gap by a DC source voltage of 1 ... Per saperne di più
This tutorial model illustrates how to analyze the thermal effects of the sun as an external radiative source and considers wavelength-dependent surface emissivities. Specifically, the model features two coolers containing beverage cans that are exposed to ambient conditions and a beach ... Per saperne di più
This tutorial models a DC glow discharge by solving fluid-type plasma equations fully coupled with the homogeneous and time-independent electron Boltzmann equation in the classical two-term approximation. The approximated Boltzmann equation is solved for each position of space and is ... Per saperne di più
This tutorial models an ICP reactor by solving plasma fluid type equations fully coupled with the homogeneous and time-independent electron Boltzmann equation in the classical two-term approximation. The approximated Boltzmann equation is solved for each position of space and is coupled ... Per saperne di più
In this example, a hydrogen plasma reactor at moderate pressure is studied using a global model. The heavy species heat equation is included. In the first part of the study, a Maxwellian electron energy distribution function is used. In the second part, the global model is solved self ... Per saperne di più
In a polymer electrolyte membrane fuel cell (PEMFC), water is produced at the cathode. The cell is also fed with water vapor via the inlet gas streams, in order to keep the polymer electrolyte membrane humidified. If the water partial pressure in the gas phase exceeds the vapor ... Per saperne di più
This model defines a zero-gap alkaline water electrolyzer, where oxygen and hydrogen gas are evolved in porous gas diffusion nickel felt electrodes, placed adjacent to a porous separator (diaphragm). The geometry defines a unit cell of an electrolyzer stack, in turn comprising two full ... Per saperne di più
