La Galleria delle Applicazioni raccoglie un'ampia varietà di tutorial e di app dimostrative realizzati con COMSOL Multiphysics in diversi ambiti applicativi, inclusi quelli elettrico, meccanico, fluidico e chimico. E' possibile scaricare i file dei modelli e delle app demo pronti all'uso e le istruzioni step-by-step per costruirli, e utilizzarli come punto di partenza per le proprie simulazioni.
Lo strumento di Ricerca Rapida permette di trovare i modelli che si riferiscono alla propria area di interesse.
Si noti che molti degli esempi qui presentati sono accessibili anche tramite le Librerie delle Applicazioni incorporate nel software COMSOL Multiphysics® e disponibili dal menu File.
The COMSOL® software includes capabilities for 3D plasma modeling. In this example, a square coil is placed on top of a dielectric window and is electrically excited at 13.56 MHz. A plasma is formed in the chamber beneath the dielectric window, which contains argon gas at low ... Per saperne di più
The electron energy distribution function (EEDF) plays an important role in the overall behavior of discharges. In this example, the formation period of an Argon plasma is studied with special attention paid to the EEDF. The plasma is created within a 4 cm gap by a DC source voltage of 1 ... Per saperne di più
This model presents a 2D axisymmetric dipolar microwave plasma source sustained through resonant heating of the electrons. This is known as electron cyclotron resonance (ECR), which occurs when a suitable high magnetic flux density is present along with the microwaves. This is an ... Per saperne di più
This model simulates electrical breakdown in an atmospheric pressure gas. Modeling dielectric barrier discharges in more than one dimension is possible, but the results can be difficult to interpret because of the amount of competing physics in the problem. In this simple model the ... Per saperne di più
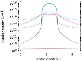
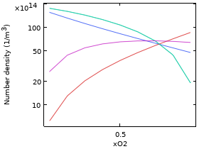
This tutorial model solves for a one-dimensional capacitively coupled plasma reactor in a mixture of argon/oxygen. Important aspects and strategies for modeling electronegative discharges are discussed. Per saperne di più
This tutorial model presents a study of a coaxial DC corona discharge in dry air at atmospheric pressure. The dimensions and operation conditions are similar to ones found in electrostatic precipitators with wire-to-plate configurations. The inner wire electrode has a 100-mm radius and ... Per saperne di più
This tutorial model solves for an inductively coupled plasma reactor in a mixture of argon/oxygen. The model computes the fluid flow and gas heating. Important aspects and strategies for modeling electronegative discharges are discussed. Per saperne di più
The GEC cell was introduced by NIST in order to provide a standardized platform for experimental and modeling studies of discharges in different laboratories. The plasma is sustained via inductive heating. The Reference Cell operates as an inductively-coupled plasma in this model. This ... Per saperne di più
Capacitively coupled RF discharges can operate in two distinct regimes depending on the discharge power. In the low power regime, known as the alpha regime, the electric field oscillation is responsible to heat and create electrons. In the high power regime, known as gamma regime, the ... Per saperne di più
This model simulates an electrodeless lamp with argon/mercury chemistry. The low excitation threshold for mercury atoms means that even though the mercury is present in small concentrations, its behavior dominates. There is strong UV emission from the plasma at 185 nm and 253 nm. The UV ... Per saperne di più
